扫码下载APP
及时接收最新考试资讯及
备考信息
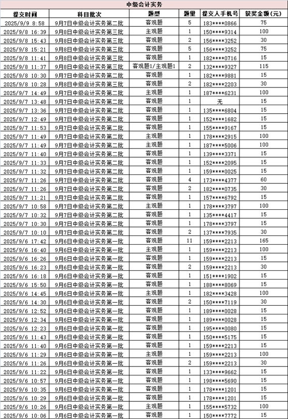
2025年中级会计考试结束后,网校发起了考试试题有奖征集的活动,提交2025年中级会计考试试题并通过审核、采纳后,即可获得现金奖励。活动一经推出,学员们积极参与,踊跃提供信息。
经过网校工作人员精心、严格的审核,2025中级会计考试试题有奖征集名单新鲜出炉啦!感谢各位同学提供的内容,同时也恭喜获奖的同学。有些同学提供的内容由于不完整、或晚于网校对外公布题目的时间等原因,没有被采纳,也同样感谢你们的参与。
2025中级会计考试试题有奖征集名单如下,请名单内的学员10个工作日内(10月9日24点前)联系网校老师登记相关信息。逾期自动作废,请尽快联系管理员,谢谢。
客观题:15元/题 主观题:100元/题

1、请务必提交【2025年中级会计考试记住的试题,且有完整的题目、选项、问题等】,才能通过审核并采纳。
2、提供内容还要包含考试科目、批次或日期,我们会在征集结束后的7个工作日内完成审核,审核通过后您可获得现金奖励。
3、如您提供的试题与其他同学重复,在完整度一致的情况下,将按提交时间的先后顺序进行采纳奖励。
4、每位考生只能参加一个批次考试的试题征集提交,征集截止时间9月12日18:00。手机号仅作为发奖联系使用,请放心填写。

没有进群的小伙伴可以截图/扫码进群联系网校老师登记相关信息,也可以在群内获取中级会计备考相关资讯!

微信扫码加入中级会计备考交流群
Copyright © 2000 - www.fawtography.com All Rights Reserved. 北京正保会计科技有限公司 版权所有
京B2-20200959 京ICP备20012371号-7 出版物经营许可证
京公网安备 11010802044457号
套餐D大额券
¥
去使用