25周年

财税实务 高薪就业 学历教育
APP下载
APP下载新用户扫码下载
立享专属优惠

安卓版本:8.8.70 苹果版本:8.8.70

开发者:北京正保会计科技有限公司

应用涉及权限:查看权限>

APP隐私政策:查看政策>

HD版本上线:点击下载>

2014中级会计师《财务管理》基础学习:等额资本回收额的计算

来源: 正保会计网校 编辑: 2014/01/07 11:31:37  字体:

招生方案

书课题助力备考

选课中心

资料专区

硬核干货等你学

资料专区

财会题库

海量好题等你练

财会题库

会计人证件照

照片一键处理

会计人证件照

考试提醒

考试节点全知晓

考试提醒

  2014年中级会计职称备考已经开始,为了帮助参加2014年中级会计职称考试的学员掌握基础知识,提高备考效果,正保会计网校精心为大家整理了中级会计职称考试各科目知识点,希望对广大考生有所帮助。

等额资本回收额的计算

含义:在约定期限内等额回收初始投入资本或清偿所欠债务的金额。

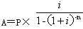
思路:已知普通年金现值P,求年金A。

计算:

式中,称为“资本回收系数”,记作(A/P,i,n),与(P/A,i,n)互为倒数。

结论:

(1)等额资本回收额与普通年金现值互为逆运算;

(2)资金回收系数与普通年金现值系数互为倒数。

学员讨论(0
回到顶部
折叠
网站地图

Copyright © 2000 - www.fawtography.com All Rights Reserved. 北京正保会计科技有限公司 版权所有

京B2-20200959 京ICP备20012371号-7 出版物经营许可证 京公网安备 11010802044457号

恭喜你!获得专属大额券!

套餐D大额券

去使用