25周年

财税实务 高薪就业 学历教育
APP下载
APP下载新用户扫码下载
立享专属优惠

安卓版本:8.8.80 苹果版本:8.8.80

开发者:北京正保会计科技有限公司

应用涉及权限:查看权限>

APP隐私政策:查看政策>

HD版本上线:点击下载>

2017年中级会计职称考试《财务管理》考试大纲(第七章)

来源: 正保会计网校论坛 编辑: 2017/07/14 09:04:24  字体:

招生方案

书课题助力备考

选课中心

资料专区

硬核干货等你学

资料专区

财会题库

海量好题等你练

财会题库

会计人证件照

照片一键处理

会计人证件照

考试提醒

考试节点全知晓

考试提醒

  考试大纲是考生备考的权威依据,所以,充分的了解考纲,然后根据考纲来进行有针对性的复习是十分必要的。赶紧来对照2017年中级会计职称考试《财务管理》科目的大纲来学习吧。

第七章 营运资金管理

【基本要求】

(一)掌握信用政策决策和现金折扣决策的方法

(二)掌握最优存货量的确定方法

(三)熟悉现金目标余额的确定方法

(四)熟悉现金收支和应收账款日常管理

(五)熟悉流动负债管理

(六)了解营运资金的特点和管理原则

(七)了解营运资金管理策略

(八)了解现金持有的动机

(九)了解存货的功能、存货控制系统

【考试内容】

第一节 营运资金管理的主要内容

一、营运资金的特点

营运资金是指流动资产减去流动负债后的余额。营运资金的来源具有多样性、营运资金的数量具有波动性、营运资金的周转具有短期性、营运资金的实物形态具有变动性和易变现性。

二、营运资金的管理原则

保证合理的资金需求;提高资金使用效率;节约资金使用成本;保持足够的短期偿债能力。

三、营运资金管理策略

(一)流动资产的投资策略

企业必须选择与其业务需要和管理风格相符合的流动资产投资策略。可选择的流动资产投资策略包括:紧缩的流动资产投资策略、宽松的流动资产投资策略。

(二)流动资产的融资策略

如何进行永久性和波动性流动资产融资决策,决定了一个企业的营运资金融资策略。融资决策分析方法可以划分为:期限匹配融资策略、保守融资策略和激进融资策略。

第二节 现金管理

现金有广义、狭义之分。广义的现金是指在生产经营过程中以货币形态存在的资金,包括库存现金、银行存款和其他货币资金等。狭义的现金仅指库存现金。这里所讲的现金是指广义的现金。保持合理的现金水平是企业现金管理的重要内容。

一、持有现金的动机

持有现金是出于三种需求:交易性需求、预防性需求和投机性需求。

(一)交易性需求

交易性需求是指企业为了满足维持日常周转及正常商业活动的需要而持有一定数额的现金。

(二)预防性需求

预防性需求是指企业为了应付突发事件而持有一定数额的现金。

(三)投机性需求

投机性需求是指企业为了抓住突然出现的获利机会而持有一定数额的现金。

二、目标现金余额的确定

(一)成本模型

成本模型强调持有现金是有成本的,最优的现金持有量是使得现金持有成本最小化的持有量。通过分析现金的机会成本和短期成本,以两种成本之和最低时的现金持有量作为目标现金余额。

(二)存货模型

最佳现金持有量C*是机会成本线与交易成本线交叉点所对应的现金持有量,因此C*应当满足:

存货模型

机会成本=交易成本,即(C*/2)×K=(T/C*)×F,即最佳现金持有量是:

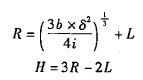
(三)随机模型

随机模型建立在企业的现金未来需求总量和收支不可预测的前提下,通过现金波动的最高限额、最低限额和现金回归线进行现金控制。其计算公式如下:

随机模型 

其中:b为证券转换为现金或现金转换为证券的成本,δ为公司每日现金流量变动的标准差,i为以日为基础计算的现金机会成本,R为回归线,H为上限,L为下限。

三、资金集中管理模式

通过资金的集中管理,统一筹集、合理分配、有序调度,能够降低融资成本,提高资金使用效率,确保集团战略目标的实现,实现整体利益的最大化。

资金集中管理模式可以分为以下几种:(1)统收统支模式;(2)拨付备用金模式;(3)结算中心模式;(4)内部银行模式;(5)财务公司模式。

四、现金收支日常管理

(一)现金周转期

现金周转期就是指介于公司支付现金与收到现金之间的时间段,也就是存货周转期与应收账款周转期之和减去应付账款周转期。

(二)收款管理

收款管理应关注收款成本和收款浮期。收款成本包括浮动期成本、管理收款系统的相关费用及第三方处理费用或清算相关费用。收款浮动期是指从支付开始到企业收到资金的时间间隔。

(三)付款管理

(1)使用现金浮游量;(2)推迟应付款的支付;(3)汇票代替支票;(4)改进员工工资支付模式;(5)透支;(6)争取现金流出与现金流入同步;(7)使用零余额账户。

第三节 应收账款管理

一、应收账款的功能

企业通过提供商业信用,采取赊销、分期付款等方式可以扩大销售,增强竞争力,获得利润。赊销增加销售,减少存货。赊销一般不增加固定成本,所增加的收益可以用下列公式计算:

增加的收益=增加的销售量×单位边际贡献

二、应收账款的成本

应收账款的成本主要有:应收账款的机会成本、应收账款的管理成本、应收账款的坏账成本。

三、应收账款的管理目标

企业发生应收账款的主要原因是扩大销售,增强竞争力,其管理目标就是增加利润。这就需要在应收账款信用政策所增加的盈利和这种政策的成本费用之间做出权衡。

四、信用政策

信用政策包括信用标准、信用条件和收账政策。

(一)信用标准

信用标准是指信用申请者获得企业提供信用所必须达到的最低信用水平,通常以预期的坏账损失率作为判别标准。信用标准的制定是建立在对客户信用评价的基础上的。信用评价方法包括定性分析和定量分析两类。

(二)信用条件

信用条件是销货企业要求赊购客户支付货款的条件,由信用期间、折扣期限和现金折扣三个要素组成。信用期间是企业允许顾客从购货到付款之间的时间,信用期的确定,主要是分析改变现行信用期对收入和成本的影响。现金折扣是企业对顾客在商品价格上的扣减,主要目的在于吸引顾客为享受优惠而提前付款,缩短企业的平均收款期。另外,现金折扣也能招揽一些视折扣为减价出售的顾客前来购货,借此扩大销售量。

(三)收账政策

收账政策是指信用条件被违反时,企业采取的收账策略。企业如果采取较积极的收账政策,可能会减少应收账款投资,减少坏账损失,但要增加收账成本。如果采用较消极的收账政策,则可能会增加应收账款投资,增加坏账损失,但会减少收账费用。企业需要做出适当的权衡。

五、应收账款的监控

公司监督和控制每一笔应收账款和应收账款总额对实施信用政策都是重要的。

(一)应收账款周转天数

将应收账款周转天数(平均收账期)与信用期比较是衡量应收账款管理状况的一种方法。

(二)账龄分析表

账龄分析表将应收账款划分为未到信用期的应收账款和以30天为间隔的逾期应收账款,这是衡量应收账款管理状况的另外一种方法。

(二)应收账款账户余额的模式

应收账款账户余额的模式反映一定期间(如一个月)的赊销额在发生赊销的当月月末及随后的各月仍未偿还的百分比。

(四)ABC分析法

ABC分析法是现代经济管理中广泛应用的一种“抓重点、照顾一般”的管理方法,又称重点管理法。它是将企业的所有欠款客户按其金额的多少进行分类排队,然后分别采用不同的收账策略的一种方法。

六、应收账款日常管理

应收账款的日常管理工作主要包括对客户的信用调查和分析评价、应收账款的催收和保理工作。

应收账款保理的作用主要包括:(1)融资功能;(2)减轻企业应收账款的管理负担;(3)减少坏账损失、降低经营风险;(4)改善企业的财务结构。

第四节 存货管理

一、存货的功能

存货的功能是指存货在企业生产经营过程中起到的作用。具体包括以下几个方面:保证生产正常进行;有利于销售;便于维持均衡生产,降低产品成本;降低存货取得成本;防止意外事件的发生。

二、存货的成本

与持有存货有关的成本包括:取得成本、储存成本、缺货成本。

三、最优存货量的确定

(一)经济订货基本模型

经济订货基本模型是建立在一系列严格假设基础上的。经济订货基本模型,公式如下:

最优存货量的确定 

经济订货基本模型下的相关总成本为:

最优存货量的确定

式中,D为存货年需用量,K为每次订货费用,KC为单位存货储存费。

(二)经济订货基本模型扩展

经济订货基本模型扩展包括再订货点、陆续供应和使用模型等。

再订货点的计算公式如下:

再订货点=预计交货期内的需求量+保险储备

陆续供应和使用模型如下:

经济订货基本模型扩展 

式中,Q为每批订货数,P为每日送货量,d为每日耗用量。

(三)保险储备

为防止缺货造成的损失,企业应有一定的保险储备。合理的保险储备应该使得缺货

成本和保险储备储存成本之和最小。

四、存货的控制系统

(一)ABC控制系统

ABC控制法就是把企业种类繁多的存货,依据其重要程度、价值大小或者资金占 用等标准,将存货进行分类,区分重点进行分类管理。

(二)适时制库存控制系统

适时制库存控制系统又称零库存管理、看板管理系统,是指当制造企业在生产过程中需要原料或零件时,供应商将原料或零件送来;而每当产品生产出来就被客户拉走。这样,制造企业的库存持有水平就可以大大下降,大大提高了企业运营管理效率。

第五节 流动负债管理

流动负债主要有7种主要来源:短期借款、短期融资券和商业信用,各种来源具有不同的获取速度、灵活性、成本和风险。

一、短期借款

短期借款的信用条件包括:(1)信贷额度;(2)周转信贷协定;(3)补偿性余额;(4)借款抵押;(5)偿还条件;(6)其他承诺。

短期借款成本主要包括利息、手续费等。短期借款成本的高低主要取决于贷款利率的高低和利息的支付方式。利息的支付方式主要包括:(1)收款法;(2)贴现法;(3)加息法。

二、短期融资券

在我国,短期融资券是指企业依照《银行间债券市场非金融企业债务融资工具管理办法》的条件和程序,在银行间债券市场发行和交易并约定在一定期限内还本付息的有价证券,是企业筹措短期资金的直接融资方式。

短期融资券的筹资特点包括:(1)筹资成本较低;(2)筹资数额比较大;(3)发行条件比较严格。

三、商业信用

商业信用是指企业在商品或劳务交易中,以延期付款或预收货款方式进行购销活动而形成的借贷关系,是企业之间的直接信用行为,也是企业短期资金的重要来源。

(一)商业信用的形式

1.应付账款。

应付账款是供应商给企业提供的商业信用。供应商在信用条件中规定有现金折扣时,放弃现金折扣的成本是很高的。放弃现金折扣的成本为:

放弃现金折扣的成本=折扣百分比/(1一折扣百分比)×360/(付款期一折扣期)

2.应付票据。

应付票据是指采用商业汇票结算方式而发生的。商业汇票包括商业承兑汇票和银行承兑汇票。应付票据按是否带息分为带息应付票据和不带息应付票据。

3.预收货款。

预收货款,是指销货单位按照合同和协议规定,在发出货物之前向购货单位预先收取部分或全部货款的信用行为。

4.应计未付款。

应计未付款是企业在生产经营和利润分配过程中已经计提但尚未以货币支付的款项。主要包括应付职工薪酬、应交税费、应付利润或应付股利等。

(二)商业信用筹资的优缺点

商业信用筹资的优点包括:商业信用容易获得、企业有较大的机动权、企业一般不用提供担保。

商业信用筹资的缺点包括:商业信用筹资成本高、容易恶化企业的信用水平、受外部环境影响较大。

四、流动负债的利弊

(一)流动负债的经营优势

流动负债的主要经营优势包括:容易获得,具有灵活性,能够有效地满足企业季节性资金短缺的融资需要。

(二)流动负债的经营劣势

流动负债的一个经营劣势是需要持续地重新谈判或滚动安排负债,财务风险较大。

  查看原帖>>

  说明:因考试政策、内容不断变化与调整,正保会计网校提供的以上信息仅供参考,如有异议,请考生以权威部门公布的内容为准!

相关推荐:

2017年中级会计职称考试《财务管理》各章节考试大纲汇总

学员讨论(0
回到顶部
折叠
网站地图

Copyright © 2000 - www.fawtography.com All Rights Reserved. 北京正保会计科技有限公司 版权所有

京B2-20200959 京ICP备20012371号-7 出版物经营许可证 京公网安备 11010802044457号

恭喜你!获得专属大额券!

套餐D大额券

去使用