25周年

财税实务 高薪就业 学历教育
APP下载
APP下载新用户扫码下载
立享专属优惠

安卓版本:8.8.80 苹果版本:8.8.80

开发者:北京正保会计科技有限公司

应用涉及权限:查看权限>

APP隐私政策:查看政策>

HD版本上线:点击下载>

【速记口诀1】中级财务管理考前速记-预付年金终值

来源: 正保会计网校 编辑:木子 2023/08/07 11:36:57  字体:

招生方案

书课题助力备考

选课中心

资料专区

硬核干货等你学

资料专区

财会题库

海量好题等你练

财会题库

会计人证件照

照片一键处理

会计人证件照

考试提醒

考试节点全知晓

考试提醒
已进入中级会计职称考前冲刺阶段,网校老师整理汇编《财务管理》速记口诀10条,来看一下预付年金终值该如何速记。

中级财务管理速记口诀

知识点

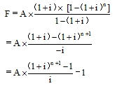
预付年金终值:

预付年金终值=A×(F/A,i,n)×(1+i)=A×[(F/A,i,n+1)-1]

推导过程如下:

式中各项为等比数列,首项为A(1+i),公比为(1+i),据等比数列的求和公式:

可得:

即:预付年金终值系数是在普通年金终值系数基础上,期数加1、系数减1的结果。

记忆口诀

“终加减”。

2023年中级会计职称9月份即将迎来考试,最后这点时间同学们一定要抓紧机会高效利用,网校考前冲刺班C位冲刺密卷班,由李忠魁老师一人主讲三科,带领同学们完成最后冲刺,考前还有李忠魁老师亲自组卷的三套密卷,帮助把握考情!赶紧入班吧>

相关推荐:

2023中级会计考前各科干货/技巧锦囊!速来收藏!

学员讨论(0
回到顶部
折叠
网站地图

Copyright © 2000 - www.fawtography.com All Rights Reserved. 北京正保会计科技有限公司 版权所有

京B2-20200959 京ICP备20012371号-7 出版物经营许可证 京公网安备 11010802044457号

恭喜你!获得专属大额券!

套餐D大额券

去使用