安卓版本:8.8.80 苹果版本:8.8.80
开发者:北京正保会计科技有限公司
应用涉及权限:查看权限>
APP隐私政策:查看政策>
HD版本上线:点击下载>
书课题助力备考
硬核干货等你学
海量好题等你练
照片一键处理
考试节点全知晓
想要在中级会计职称考试中取得好成绩,必然少不了每天的坚持。为了帮助大家能够高效备考,网校为大家准备了中级会计职称财务管理知识点。赶快来学今天的中级会计职称财务管理知识点吧!
知识点:年金现值
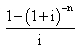
(一)普通年金现值
被称为年金现值系数,记作(P/A,i,n)。
(二)预付年金现值
先求普通年金现值,然后再调整
(三)递延年金现值
方法:先求普通年金现值,然后折现。
四)永续年金现值
P=A/i
正保会计网校陪你一起备战2021中级会计考试,2021年课程已经上线,购买2021年课程赠送2021年相应课程,快来了解一下吧!了解详情>>>
相关推荐:
中级新手必知:2021中级会计职称考试特点详细解读!
【热点聚焦】报考2021年中级会计职称考试会不会限制专业?
初级报名推迟 高会考试提前!2021中级会计考试情况如何?
点击试试手气即可抽奖人已抽奖
人已抽奖
优惠券
不感兴趣?去选课中心>
0
上一篇:2021中级会计财务管理知识点:一年多次计息...
下一篇:2021中级会计财务管理知识点:年金终值
预计4月
6月12日-7月2日
8月11日前公布
9月5日-6日
10月30日
以各地公告为准
10W+题量持续更新中
及时接收最新考试资讯及备考信息
一起交流学习,备战考试,赢在起跑线
官方公众号微信扫一扫
官方视频号微信扫一扫
官方抖音号抖音扫一扫
初级会计职称 报名 考试 查分 备考 题库
中级会计职称 报名 考试 查分 备考 题库
高级会计师 报名 考试 查分 题库 评审
注册会计师 报名 考试 查分 备考 题库
税务师 报名 考试 查分 备考 题库
资产评估师 报名 考试 查分 备考 题库
ACCA 白金级 前景 免考 政策 资料
CMA 报名 考试 政策 准考证 查分
CFA 前景 报名 考试 资料 备考
FRM 官方 前景 报名 考试 备考
美国CPA 证书互认 报名 考试 资料
澳洲CPA 授权机构 免考 考试 资料
经济师 报名 考试 查分 备考 题库
就业晋升 招聘 简历 求职 故事
会计实务 各行业 问答 记账 报表 实操
银行从业 报名 准考证 考试 证书 查分
证券从业 报名 大纲 考试 查分 证书
精华问答 初级 中级 注会 税务师
Copyright © 2000 - www.fawtography.com All Rights Reserved. 北京正保会计科技有限公司 版权所有
京B2-20200959 京ICP备20012371号-7 出版物经营许可证 京公网安备 11010802044457号
套餐D大额券
¥