扫码下载APP
及时接收最新考试资讯及
备考信息
勤奋者废寝忘食,懒惰人总没有时间。中级会计职称考试已经向你挥手了,抓紧备考吧!正保会计网校为大家整理了中级会计职称财务管理知识点,备考就从今天开始!就从此刻开始!

知识点:年金终值
(一)普通年金终值
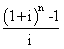
被称为年金终值系数,用表示为:(F/A,i,n)。
普通年金终值的计算:F=A×(F/A,i,n)
(二)即付年金终值
先求普通年金终值,再调整。
即付年金终值的计算:F=A×(F/A,i,n)×(1+i)
(三)递延年金终值
计算递延年金终值和计算普通年金终值基本一样,只是注意扣除递延期即可。即:F=A(F/A,i,n)。
正保会计网校2021年中级会计职称考试辅导全面招生!全新推出2021年中级会计职称新课程,学员可结合自身特点选择适合自己的课程,考试通过更有保障!加入正保会计网校>
相关推荐:
Copyright © 2000 - www.fawtography.com All Rights Reserved. 北京正保会计科技有限公司 版权所有
京B2-20200959 京ICP备20012371号-7 出版物经营许可证
京公网安备 11010802044457号
套餐D大额券
¥
去使用