扫码下载APP
及时接收最新考试资讯及
备考信息
2025年中级会计职称备考正在进行中,现阶段新教材还未发布,大家可以通过学一些“恒重”考点,抢先备考,分减轻后期的学习压力!网校教研团队整理了中级会计《财务管理》考试恒重点,赶快开始学习吧!
知识点名称:债券的价值
考核年份:2022年第二批、2022年第五批、2021年第三批、2021年第四批
常考题型:单选题、多选题、判断题、计算题、综合题
学习提示:本知识点属于第六章内容,考试常见套路为,运用××时,应考虑的因素有;根据××案例资料,计算××指标,并进行决策。学习时,以教材原文、公式、例题及扩展为主,主要掌握债券计算的原理、构成及影响因素、具体的计算。
【知识点内容】
1.债券价值影响因素:债券面值、票面利率、债券期限、市场利率(贴现率)
2.债券价值的计算
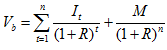
债券价值:指的是未来收取的利息和本金的现值。
债券价值计算的基本模型是:

(1)市场利率与债券价值呈反向变动关系。
(2)长期债券对市场利率的敏感性会大于短期债券,在市场利率较低时,长期债券的价值远高于短期债券,在市场利率较高时,长期债券的价值远低于短期债券。
(3)市场利率低于票面利率时,债券价值对市场利率的变化较为敏感,市场利率稍有变动,债券价值就会发生剧烈的波动;市场利率超过票面利率后,债券价值对市场利率变化的敏感性减弱,市场利率的提高,不会使债券价值过分降低。
长期债券的价值波动较大,特别是票面利率高于市场利率的长期溢价债券,容易获取投资收益但安全性较低,利率风险大。如果市场利率波动频繁,利用长期债券来储备现金显然是不明智的,将为较高的收益率而付出安全性的代价。
【经典题目】
【单选题】假设目前时点是2013年7月1日,A公司准备购买甲公司在2010年1月1日发行的5年期债券,该债券面值1000元,票面年利率10%,于每年6月30日和12月31日付息,到期时一次还本。假设市场利率为8%,则A公司购买时,该债券的价值为( )元。已知:(P/A,4%,3)=2.7751,(P/F,4%,3)=0.8890。
A. 1020
B. 1027.76
C. 1028.12
D. 1047.11
【正确答案】 B
【答案解析】计算债券价值时,考虑的是未来的利息收入和收回的本金的现值,该债券2015年1月1日到期,目前是2013年7月1日,每年6月30日和12月31日支付利息,因此,购买之后还可以收到3次利息,一年半之后收到债券本金。由于半年付息一次,所以,应该按照半年的折现率计算。因此,2013年7月1日债券的价值=1000×5%×(P/A,4%,3)+1000×(P/F,4%,3)=50×2.7751+1000×0.8890=1027.76(元)。
更多推荐:
Copyright © 2000 - www.fawtography.com All Rights Reserved. 北京正保会计科技有限公司 版权所有
京B2-20200959 京ICP备20012371号-7 出版物经营许可证
京公网安备 11010802044457号