扫码下载APP
及时接收最新考试资讯及
备考信息
小编为大家总结的是2019年中级《审计专业相关知识》第二部分第一章第三节(投资风险报酬)的知识点,还未开始2020年中级审计师考试备考的同学可参考以下内容,提前学习,其他章节内容小编将为大家陆续更新,请大家持续关注!

第04讲 单项投资风险报酬率的衡量
第三节 投资风险报酬
知识点:投资风险与报酬的关系
1.投资风险
投资的未来实际报酬偏离预期报酬的可能性。
2.投资风险报酬
投资者因承受风险而要求获得的超过无风险报酬的额外投资报酬,也称投资风险补偿、风险价值、风险收益。
3.投资风险与报酬的基本关系
投资风险越高,投资者要求的投资风险报酬率就越高,从而投资报酬率也就越高,即:
投资报酬率=无风险投资报酬率+投资风险报酬率
知识点:单项投资风险报酬率的衡量
(一)计算期望报酬率——衡量预期收益的指标,不反映风险水平
1.单项资产期望报酬率

【示例】某企业有A、B两项投资,其可能的投资报酬率及其概率分布下:

两项投资的期望报酬率可计算如下:
A项投资的期望报酬率=15%×0.20+10%×0.60+0×0.20=9%
B项投资的期望报酬率=20%×0.30+15%×0.40+(-10%)×0.30=9%
2.期望报酬率只是反映投资报酬率集中趋势的一种量度,其本身并不能反映投资项目的风险程度。
(二)计算方差、标准离差和标准离差率——反映离散(风险)程度的指标
1.方差与标准离差——反映离散(风险)程度的绝对数指标
(1)方差

(3)方差与标准离差属于衡量风险的绝对数指标,适用于期望报酬率相等的投资的风险比较,不适用于期望报酬率不同的投资的风险比较。在期望报酬率相等的情况下,方差或标准离差越大,则风险越大;反之,则风险越小。
2.标准离差率(V)=标准离差/期望值
标准离差率是衡量风险的相对数指标,表示每单位预期收益中所包含的风险的大小,适用于期望报酬率不同的投资的风险比较。一般情况下,标准离差率越大,风险越大;反之,则风险越小。
【示例】前例中,A、B两项投资的标准离差率为:
A项投资的标准离差率为:
VA=0.0490/9%=54.44%
VB=0.1261/9%=140.11%
(三)确定风险报酬系数、计算风险报酬率和投资报酬率
1.风险报酬系数b:将风险转化为报酬所采用的系数,亦称风险价值系数,相当于标准离差率为100 %时的风险报酬率。
2.风险报酬率RR=风险报酬系数b×标准离差率V
3.投资报酬率R=无风险报酬率RF+风险报酬系数b×标准离差率V
其中:无风险报酬率通常以短期政府债券的收益率来表示。
4.风险越大,标准离差率越大,在风险报酬系数一定的条件下,风险报酬率越高,投资人要求的必要报酬率也越高。
第05讲 投资组合风险报酬率的衡量
知识点:投资组合风险报酬率的衡量
(一)投资组合风险类型的分析
1.可分散风险(非系统风险):特殊企业或特定行业特有的,与政治、经济和其他影响所有资产的市场因素无关,可以通过投资的分散化予以抵销。
2.不可分散风险(系统风险):影响所有企业的因素所导致的风险,属于整体市场的风险,不能通过投资组合予以分散掉,通常用β系数衡量。
(1)β系数是某资产的不可分散风险相当于整个证券市场风险的倍数(整个证券市场的β系数=1)
β>1:风险程度高于证券市场
β=1:风险程度等于证券市场
β<1:风险程度低于证券市场
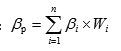
(2)投资组合的β系数:组合内各证券的β系数以各证券的投资比重为权重的加权平均值,即:

(二)投资组合必要报酬率的计算
1.投资组合的风险报酬率:投资者因承担不可分散风险而要求的额外的报酬率。
R=β×(Rm-Rf)
其中:(Rm-Rf)是整个证券市场的平均报酬率Rm超过无风险报酬率Rf的额外补偿,相当于整个证券市场(当β=1时)的风险报酬率。
2.投资组合的必要报酬率——资本资产定价模型
投资组合必要报酬率=无风险报酬率+(不可分散)风险报酬率
KP=Rf+β×(Rm-Rf)
【本章小结】
一、财务管理概述
1.财务活动与财务关系
2.财务管理的内容
3.财务管理的职能
4.财务管理的目标
5.利益相关者的要求
二、货币时间价值
1.货币时间价值的原理
2.复利终值和现值
3.年金终值和现值
三、投资风险报酬
1.投资风险与报酬及其关系
2.单项投资风险报酬率的计算与运用
3.投资组合的风险类型
4.投资组合风险报酬率和必要报酬率的计算与运用
以上内容均来自2019年审计师网校辅导班老师讲解内容,成为付费学员就可查看更多讲义、习题与课程!网校老师帮你抓重点、提炼考点!快去入手吧!立即购买>>
相关阅读:
Copyright © 2000 - www.fawtography.com All Rights Reserved. 北京正保会计科技有限公司 版权所有
京B2-20200959 京ICP备20012371号-7 出版物经营许可证
京公网安备 11010802044457号