扫码下载APP
及时接收最新考试资讯及
备考信息
小编为大家总结的是2019年中级《审计专业相关知识》第二部分第一章第二节(年金终值与现值)的知识点,还未开始2020年中级审计师考试备考的同学可参考以下内容,提前学习,其他章节内容小编将为大家陆续更新,请大家持续关注!

第03讲 年金终值与现值
知识点:年金终值与现值
——系列、定期、等额款项的复利终值或现值的合计数
1.年金:等额、定期的系列收支
(1)系列——通常是指多笔款项,而不是一次性款项
(2)定期——每间隔相等时间(未必是1年)发生一次
(3)等额——每次发生额相等
对于符合年金形态的系列款项,可利用等比数列求和的方法计算其终值或现值的合计数,而无需逐一计算每一笔款项的终值或现值,然后再加总。
【示例】
年金形式系列款项的终值合计与现值合计:

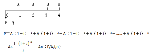
2.普通年金终值与现值
(1)普通年金(后付年金):从第一期起,各期期末收付的年金

(2)普通年金终值:一定时期内每期期末等额收付款项的复利终值之和。即:已知年金A(系列定期等额款项的每笔发生额)、利率i、期数n(即年金A的个数),求n个A的终值合计F。

【示例】
某企业在年初计划未来5年每年底将50000元存入银行,存款年利率为5%,则第5年底该年金的终值可计算如下:
F=50000×(F/A,5%,5)=50000×5.526=276300(元)
(3)普通年金现值:一定时期内每期期末等额收付款项的复利现值之和。即:已知年金A(系列定期等额款项的每笔发生额)、利率i、期数n(即年金A的个数),求n个A的现值合计P。

【示例】
某企业年初存入银行一笔款项,计划用于未来5年每年年底发放职工养老金80000元,若存款年利率为6%,则现在应存入的款项可计算如下:
P=80000×(P/A,6%,5)=80000×4.212=336960(元)
【提示】
在复利终值系数(F/P,i,n)和复利现值系数(P/F,i,n)中,n代表计息期数;在年金终值系数(F/A,i,n)和年金现值系数(P/A,i,n)中,n代表年金A的个数。
3.预付年金终值与现值
(1)预付年金(即付年金、期初年金):从第一期起,各期期初收付的年金

【提示】
在期数相同的情况下,普通年金与预付年金的年金个数相同(n期内有n笔年金);二者的区别仅在于收付款时间的不同:
普通年金发生于各期期末(1~n),在0时点(第一期期初)没有发生额;预付年金发生于各期期初(0~n-1),在n时点(最后一期期末)没有发生额。

(2)预付年金终值:由于预付年金的每一笔年金都比普通年金提前一期发生,因而在计算终值时,预付年金的每一笔年金都要比普通年金多一个计息期。

【示例】
某公司打算购买一台设备,付款方式为每年初支付200万元,3年付讫。假设年利率为5%,复利计息。则该公司购置设备的付款额终值为:
F=200×(F/A,5%,3)×(1+5%)=200×[(F/A,5%,4)-1]=662.02(万元)
(3)预付年金现值:由于预付年金的每一笔年金都比普通年金提前一期发生,因而在计算现值时,预付年金的每一笔年金都要比普通年金少折现一期。

【提示】

计算预付年金现值时,可先将0时点上的年金去掉,得到n-1期的普通年金,计算其普通年金现值,再加回0时点上的年金,即可得到预付年金现值,由此推出:预付年金现值系数是在普通年金现值系数基础上,期数减1,系数加1的结果。
【示例】
某公司打算购买一台设备,付款方式为每年初支付200万元,3年付讫。假设年利率为5%,复利计息。则该公司购置设备的付款额现值为:
P=200×(P/A,5%,3)×(1+5%)=200×[(P/A,5%,2)+1]=571.87(万元)
【提示】
由于预付年金的发生时间早于普通年金,因此预付年金的终值与现值均高于普通年金。无论是预付年金终值还是现值,一律在计算普通年金终值或现值的基础上,再“×(1+i)”。
4.递延年金现值
(1)递延年金(延期年金):不是从第一期开始,而是若干期后才开始发生的每期期末等额收付款项。

(2)递延年金现值的计算
①分段折现法——在递延期末或支付期初(第一笔年金发生的前一个时点)将时间轴分成两段

先计算支付期的普通年金现值,即支付期内各期年金在支付期初或递延期末(第一笔年金发生的前一个时点)的现值合计(P’),再将其折现至递延期初(计算递延期的复利现值)

【示例】
某企业向银行申请取得一笔长期借款,期限为10年,年利率为9%。按借款合同规定,企业在第6~10年每年末偿付本息1186474元。则这笔长期借款的现值(本金)可计算如下:
P=1186474×(P/A,9%,5)×(P/F,9%,5)=1186474×3.890×0.650≈3000000(元)
②插补法
假设递延期内也有年金发生,先计算“递延期+支付期”的年金现值,再扣除递延期内实际并未发生的年金现值。

【示例】
某企业向银行申请取得一笔长期借款,期限为10年,年利率为9%。按借款合同规定,企业在第6~10年每年末偿付本息1186474元。则这笔长期借款的现值(本金)可计算如下:
P=1186747×[(P/A,9%,10)-(P/A,9%,5)]=1186747×(6.418-3.890)≈3000096(元)
5.永续年金现值
(1)永续年金(永 久年金):无限期收付款项的年金

(2)永续年金现值=A/i
【示例】
某种永续年金每年收款1200元,折现率为10%,则该永续年金的现值可近似地计算为:P=1200/10%=12000(元)
以上内容均来自2019年审计师网校辅导班老师讲解内容,成为付费学员就可查看更多讲义、习题与课程!网校老师帮你抓重点、提炼考点!快去入手吧!立即购买>>
相关阅读:
Copyright © 2000 - www.fawtography.com All Rights Reserved. 北京正保会计科技有限公司 版权所有
京B2-20200959 京ICP备20012371号-7 出版物经营许可证
京公网安备 11010802044457号