扫码下载APP
及时接收最新考试资讯及
备考信息
随着我国经济体制改革的深化和市场经济的逐步成熟,我国企业的并购行为也日趋频繁。企业并购中的估值有哪些需要了解的呢?快来看看吧!
一、公司价值分析主要方法
(一)价值评估基本原理
实物资产与金融资产的定价机制
实物资产:供需决定价格
金融资产:未来现金流的贴现值
(二)公司估值基础
基于公司是否持续经营,公司估值的基础可分为两类: 持续经营假设和非持续经营假设。
在采用现金流贴现模型和相对估值模型进行估值时, 均以持续经营假设为基础来讨论,即假定企业将无限期的经营下去
(三)公司价值分析主要方法
1.现金流贴现模型 (DCF 模型):
将公司的未来现金流量贴现到特定时点上以确定公司的内在价值
常见:自由现金流模型和DDM
2.相对估值模型
(1)利用同类公司的各种估值倍数对公司的价值进行推断
常见:P/E模型、P/B模型、P/S模型等
(2)比较分析法:根据同行业相关公司的特点来判断估 值对象的价值,比较的内容包括市场估值、经营业绩、信用情况和业务增长等
二、公司估值主要方法
1.现金流贴现法
在选择现金流贴现模型时,现金流和贴现率的选择是重点,通常有以下情形:
⊙自由现金流模型中,选择自由现金流作为贴现现金流,自由现金流分公司自由现金 流(FCFF)和股东自由现金流(FCFE)。
(1)如果使用FCFF,采用加权平均资金成本(WACC)做贴现率;
(2)如果使用FCFE,以股票投资者要求的必要回报率作为贴现率;
⊙红利贴现模型(DDM)中,选择公司未来红利作为贴现现金流,以股票投资者要求 的必要回报率作为贴现率。
2.FCFF模型
• 步骤一:预测未来各期期望FCFF;
• 步骤二:计算企业的加权平均资金成本;
• 步骤三:计算企业的整体内在价值(VA),减去企业负债的市场 价值(VD )后得出企业的权益价值(VE),进而计算出股票的内在价值
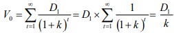
3.红利零增长模型
假设股息的数量保持不变,即未来股息的增长率为零,即这种假设下的红利贴现模型被称为零增长模型:

案例详解详细讲解企业并购重组基本程序,点击了解课程详情>>企业并购重组基本程序及典型案例分析
学习1500+实操课&在线答疑&大咖直播&100份资料&多行业实训软件,点击课程>>实务畅学卡(年卡Plus会员-2年)
推荐文章
下一篇:餐饮行业的纳税筹划
Copyright © 2000 - www.fawtography.com All Rights Reserved. 北京正保会计科技有限公司 版权所有
京B2-20200959 京ICP备20012371号-7 出版物经营许可证
京公网安备 11010802044457号
套餐D大额券
¥
去使用