扫码下载APP
及时接收最新考试资讯及
备考信息
法务会计师是一群什么样的人?如果说他们要出入案发现场,要参与案件调查,要出庭作证,你是不是觉得这很酷呢?今天,就让公会带你走近这个已经在国外兴起多年的职业!

法务会计是一群什么样的人?
通俗来说,法务会计师像是商业领域的“医生”。在国外,他们需要参与诉讼支持、破产管理、债权投资、股权投资、打击经济犯罪、计算机取证等领域的工作。
而在学术上,法务会计是这样被定义的。它一般是自然人、企业或服务机构综合运用财务、统计、金融、法律、审计、评估相关方法与尽调技术,在通过查询、分析一手或二手资料基础上,运用证据思维,以专家证人的身份,在法庭上展示或陈述证据材料,以解决有关争讼问题的交叉学科。

作为专业人士,法务会计师需要参与民事、刑事案件的调查和侦办,并出庭作证,用简洁易懂的语言在法庭上解释证据收集的过程。他们的作用不言而喻,但法务会计也是经过长时间的发展才走到今天的地位。
法务会计的演变与发展
早在20世纪初,集会计、评估、律师、审计为一体的新兴职业——法务会计师就成为一种新兴职业。他们通过财务分析和尽职调查协助当地司法系统查办经济类犯罪案件,在法庭上作为专家证人为公诉提供专业支持。后来,在各国逐步发展为专门的、综合的服务专业,法务会计也逐渐受到各国会计师协会的重视。

在本世纪初,法务会计进入我国。伴随着国家司法体制与诉讼制度的改革,法务会计在查处经济犯罪、解决民事经济纠纷、治理财务舞弊、分析公司舞弊风险等方面发挥了重要作用,法务会计师职业队伍受到越来越多的关注。
法务会计在真实案件中的作用
以下由真实案例整理编写,为了保护商业秘密和个人信息均采用代称。
案件背景
WH酒店涉“公司债”集体诉讼,A公司为该酒店品牌的实际管理公司,其注册地址为某国某州,公司法属普通法系。
案件形成原因
在某年的年中和年终,A公司不支付公司债的利息却向公司股东在年底继续分红,且分红金额与历年持平,这一行为令向公司债的投资的普通债权人(低级别无担保债权人)觉得这侵害了其优先受偿付利息的利益,导致他们联合对A公司发起集体诉讼,诉请法院判决 A公司撤销内部向股东分红的决定,将当年的分红用于支付当年 A公司应付的公司债券利息、罚息、违约金等,并向原告在当地媒体上公开赔礼、道歉。
A公司的应对
A公司以旗下酒店经营不善导致未能如期偿还公司债利息为理由,并委托当地知名律所组成律师团应诉,律师团认为A公司需寻找专家证人的帮助以完成诉讼应对和提供专业意见。于是,A公司向拥有诸多法务会计实务经验的S专家寻求帮助。
法务会计S专家扮演的角色
S专家邀请其研究助理W先生共同寻找专业证据,证明找出会计或经济学上的证据,这些证据作为支持 A公司不需要或没必要偿还普通债权人公司债利息,而A公司仍进行了分红是没有违反与债权人的合约定或相关法律规定。
S专家和其助理开始一系列法务会计的查询、分析、鉴证和测算工作。

首先,他们查找了A公司所在州的公司法律条文、历史判例,但并没有查到有利于被告的相关内容;
而后,他们扩大搜索范围,在国家图书馆的穆迪年报中找到了线索。穆迪年报中记载了该国所有公司(非上市的公司也包含在内)发行公司债的历史情况,包括但不限于发行主体、时间长度、利率、面值、付息方式和时间等重要信息;
接着,他们根据某国穆迪年报查询到的内容做了更为深入的计算、对比和分析。他们抽取国家、该州的穆迪企业年报中列示了 A公司历史公司债的具体本次发债规模、发行利率、承销机构及承销情况。查询A公司同行业、相近规模的公司债发行时的发债规模、发行利率、承销机构及承销情况;
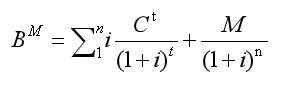
随即,他们根据公司债的定价模型(下图)。在已知发行价格BM,发行期限 T、N 和初期的发行规模情况下,可进行反向计算,计算出在该发行价格下的利率 iM ,这个就是A公司支付给债权人的利息计算基础。这个利率里包含了基础利率、风险补贴利率。也就是说,如果A公司给出的利率iM越高,说明酒店给出的基础利率和风险补贴利率越高。

公司债定价公式图
他们查询穆迪年报中同一时期、相同为酒店行业的某国发行公司债的企业年报情况,这些企业在发行近似规模公司债的发行平均利率,计算出这些公司债的平均发行利率iX ,将 A公司实际发行利率与这些企业发行公司债比较可以,发现iM > iX。

由此S专家得出以下结论, 并呈递给A公司及其律师团。
A公司在发行债券时支付债权人的利率 iX 就远超过行业公司债的平均利率iX。这表明A公司并没有亏待这些提出诉讼的普通债权人。早在这些债权人对A公司的公司债进行投资的时候,A公司就早已经给予他们很高的利率,说明A公司早在初始销售公司债时就给出债权人一定的风险补偿,补贴未来可能无法按时偿付债权利息的这一市场风险。
A公司所属酒店经营不善,暂时不能给出债权人利息支付是一种正常的、可能出现的市场风险,未来A公司仍会归还这些应付利息,并非不再进行归还。
这些内容的调取和发现,为A公司提供了有利的诉讼证据,为集体诉讼的债权人庭外和解提供了有利支撑和谈判的“重要砝码”。
案件结果
经过双方多轮谈判,也因这份关键的利率证据,原告、被告双方的代理律师促成了 A公司与原告债权人代表的庭外和解。
A公司既避免了诉讼损失,也避免了旗下酒店的市场声誉风险,从而造成客户的流失,造成更大的市场风险和损失。
法务会计需要具备哪些能力?
通过以上的真实案例,我们不难发现法务会计是当今社会急缺的复合型人才。
一般来说,法务会计需运用法律上的证据思维、审判思维、审计思维、证据思维、尽调技术、财务报表分析技术、经济指标测算等综合能力。

具体到以上的案例来说,法务会计需要有:
律师、会计师的思维
通过分析证据的真实性、合法性、关联性,查找与案件有关联关系的证据,排查与案件无关,或者影响案件的有关证据。
例如,对历史资料进行按年度测算财务利率指标,运用会计思维的历史成本法,作为专家证人从专业角度出发,以计算、比较利率水平为为依据,提供了解决案件问题的关键证据,直接影响了案件的进程和结果。
大数据思维
要从结果往前寻找事件的整体过程,不能看事件的表象,而是要关注事件的起、承、转、结,全面了解定性、定量的具体状况,才能做出正确的判断和决策。
专业能力
打铁仍需自身硬,法务会计应熟练运用专业知识和实践技能,形成问题的解决思路和寻找相关证明文件,至终形成书证,才能成为一个称职的专家证人。
澳洲注册会计师资质受到全球雇主的广泛认可,在亚洲市场亦有超过60年的历史沉淀。公会在香港、新加坡、马来西亚等主要亚洲城市、大洋洲和欧洲均设有分会,支持会员的国际化事业发展,点击获取更多澳洲CPA资料>>
更多推荐:
| 澳洲CPA是什么 | 澳洲CPA考试科目 | 澳洲CPA考试时间 | 澳洲CPA考试难度 |
| 澳洲CPA报名条件 | 澳洲CPA考试费用 | 澳洲CPA报名入口 | 澳洲CPA证书互认 |
| 澳洲CPA考试地点 | 澳洲CPA就业前景 | 澳洲CPA考试形式 | 澳洲CPA培训费用 |
| 澳洲CPA含金量 | 澳洲CPA考试认证 | 澳洲CPA通过率 | 澳洲CPA合格分数 |
| 澳洲CPA考试政策 | 澳洲CPA考试资料 | 澳洲CPA考试官网 | 澳洲CPA认证机构 |
Copyright © 2000 - www.fawtography.com All Rights Reserved. 北京正保会计科技有限公司 版权所有
京B2-20200959 京ICP备20012371号-7 出版物经营许可证
京公网安备 11010802044457号
套餐D大额券
¥
去使用