扫码下载APP
及时接收最新考试资讯及
备考信息
2015年初级审计师考试备考已经开始,为了帮助参加2015年初级审计师考试的学员巩固知识,提高备考效果,正保会计网校为大家整理了初级审计师考试重要知识点,希望对广大考生有所帮助!
股票投资决策
(一)股票投资的风险
1.可分散风险
2.不可分散风险:股票投资只能对不可分散风险要求风险报酬,确定出该股票的必要报酬率。
(二)股票投资的估值
1.股票估值原理
1)股票价值是股票在持有期间内各期现金流入(现金股利、出售价格)按必要报酬率折现的现值合计。
2)股票的现金流量取决于公司的经营业绩和股票市场价格变化。
2.股票估值的基本公式
1)现金流量分布:无限期、不固定的现金股利

![]()
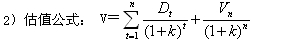
3.有限期持有股票的价值计算公式
1)现金流量分布:预期持有期内每期的现金股利(或卖出股票股利所得的现金)、预期出售股票时的卖出金额

![]()
4.零增长公司股票价值的计算公式
1)现金流量分布:无限期、固定的现金股利(永续年金)

2)估值公式(永续年金现值):V=D/K
5.固定增长公司股票估值的计算公式——无限期持股,股利保持固定的增长率
1)现金流量分布:无限期、具有固定增长率的现金股利

![]()
(三)股票投资收益率的估计
1.股票投资收益率:股票投资的内部报酬率(IRR),令:股票投资的净现值=股票估值-股票市价=0(或令:股票估值=股票市价),求解折现率。
2.零增长公司股票投资收益率的计算公式
r=D/P0
3.固定增长公司股票投资收益率的计算公式

Copyright © 2000 - www.fawtography.com All Rights Reserved. 北京正保会计科技有限公司 版权所有
京B2-20200959 京ICP备20012371号-7 出版物经营许可证
京公网安备 11010802044457号
套餐D大额券
¥
去使用