扫码下载APP
及时接收最新考试资讯及
备考信息
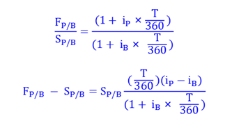
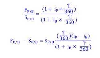
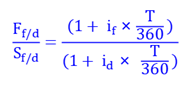
CFA二级经济学共有3章,分别是外汇、经济增长和经济监管,最重要的是第一章,涉及到很多计算,今天我们一起来复习一下三大平价理论之 利率平价理论Interest Rate Parity,理清汇率和利率之间的关系。

共分为3种情况:
1.covered interest rate parity(抛补的利率平价),用外汇的远期合约来对冲风险
进一步推导:
2. Uncovered interest rate parity(无抛补的利率平价),没有用外汇的远期合约对冲风险,由于预测短期内不太准确,因此短期不成立。
3.Forward rate parity(远期汇率平价),用远期汇率对未来的即期利率做无偏估计。
同学们一定要熟练掌握这些公式,并且通过例题加以巩固消化。
▲如果想要了解更多CFA重点难点解读,可以关注正保会计网校CFA尊享无忧班课程,高效备考,老师指导,快来看看为你精心打造的2021年CFA课程吧!点进了解CFA尊享无忧班>>
★CFA课程介绍
尊享无忧班
课程班次模块:入门前导+基础精讲+提高强化+习题冲刺+考前直播
相关赠送资料:电子讲义+专属学习题库+公式表+思维导图+考前模拟卷+学习计划
贴心超值服务:24小时专家答疑(答疑精华、答疑周刊)+学习记录+班级管理+多端学习+考试提醒+专业答题+考务咨询
课程期限:5年全科畅学
CFA尊享无忧班更适合小白学员学习,老师带队复习重点难点,拿下CFA考试不在话下,购买CFA课程还赠送价值5960元的金融英语和金融数学,超值!
CFA考证人-专属学习交流群
CFA考试不再孤军奋战,想结识更多CFA小伙伴吗?想免费获取海量CFA学习资料吗?想要掌握实时的CFA考试信息和政策吗?赶快扫描下方二维码,一起加入到CFA考试大家庭吧!

更多推荐:
考证人备考打卡挑战!“CFAer每日打卡赠课计划”正式上线了!
Copyright © 2000 - www.fawtography.com All Rights Reserved. 北京正保会计科技有限公司 版权所有
京B2-20200959 京ICP备20012371号-7 出版物经营许可证
京公网安备 11010802044457号
套餐D大额券
¥
去使用