扫码下载APP
及时接收最新考试资讯及
备考信息
CFA一级考试中,operating risk不仅有定性概念,还有定量公式。关于这部分的计算并不难,只要记住公式再代入数字就能得出正确答案。所以同学们在复习中一定要熟记这些公式,把这部分分数拿到。

【考试科目】CFA一级:公司金融
【考频分析】考频:★★
【复习程度】熟记公式。
【高频考点】Operating Risk
Operating risk涉及的三个公式分别是DOL(degree of operating leverage),DFL(degree of financial leverage)和DTL(degree of total leverage)。
DOL衡量的是一个公司的operating income对销量的敏感程度,也就是销量变动1%,operating income会变动多少。公式如下:
其中,operating income的公式为:
由于Fixed costs是固定不变的,所以DOL的公式可以化简为:
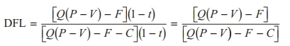
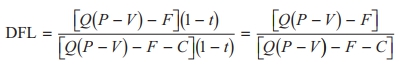
DFL衡量的是一个公司net income对operating income的敏感程度,公司的债务越高,fixed costs就越高,financial risk也就越高。DFL的公式是:
可以进一步化简为:
最后,把DOL和DFL两个指标结合起来,我们可以得到DTL。DTL衡量的是一个公司net income对销量的敏感程度,公式上等于DOL和DFL相乘。
▲如果想要了解更多cfa重点难点解读,可以关注正保会计网校cfa无忧直达班课程,高效备考,老师指导,快来看看为你精心打造的2021年CFA课程吧!点进了解CFA无忧直达班>>
★CFA课程介绍
无忧直达班
课程班次模块:入门前导+基础精讲+提高强化+习题冲刺+考前直播
相关赠送资料:电子讲义+专属学习题库+公式表+思维导图+考前模拟卷+学习计划
贴心超值服务:24小时专家答疑(答疑精华、答疑周刊)+学习记录+班级管理+多端学习+考试提醒+专业答题+考务咨询
课程期限:5年全科畅学
CFA无忧直达班更适合小白学员学习,老师带队复习重点难点,拿下cfa考试不在话下,购买cfa课程还赠送价值5960元的金融英语和金融数学,超值!
扫码加入正保金融大讲堂,关注并回复"思维导图"领取正保会计网校专属资料!同时还有考试资讯以及报考福利,赶紧来关注吧~

更多推荐:
Copyright © 2000 - www.fawtography.com All Rights Reserved. 北京正保会计科技有限公司 版权所有
京B2-20200959 京ICP备20012371号-7 出版物经营许可证
京公网安备 11010802044457号
套餐D大额券
¥
去使用