25周年

财税实务 高薪就业 学历教育
APP下载
APP下载新用户扫码下载
立享专属优惠

安卓版本:8.8.80 苹果版本:8.8.80

开发者:北京正保会计科技有限公司

应用涉及权限:查看权限>

APP隐私政策:查看政策>

HD版本上线:点击下载>

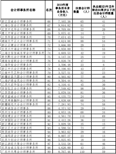
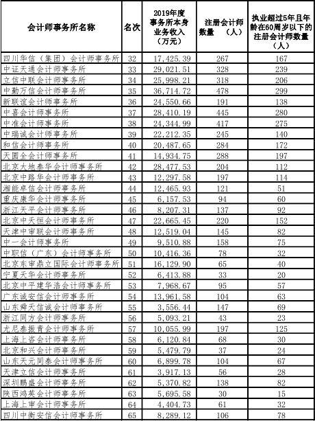
2019年度综合评价前100家会计师事务所排名(公示稿)·中注协

来源: 中国注册会计师协会 编辑:小编 2020/10/13 17:41:13  字体:

选课中心

多样班次满足需求

选课中心

资料专区

干货资料助力备考

资料专区

报考指南

报考条件一键了解

报考指南

中国注册会计师协会于9月22日正式公布了《2019年度综合评价前100家会计师事务所信息(公示稿)》,其中,公示的Top100会计师事务所名单如下:

学员讨论(0

免费试听

  • Jessie《FR 财务报告》

    Jessie主讲:《FR 财务报告》免费听

  • 张宏远《MA 管理会计》

    张宏远主讲:《MA 管理会计》免费听

  • 何 文《SBL 战略商业领袖》

    何 文主讲:《SBL 战略商业领袖》免费听

限时免费资料

  • 近10年A考汇总

    历年样卷

  • 最新官方考试大纲

    考试大纲

  • 各科目专业词汇表

    词汇表

  • ACCA考试报考指南

    报考指南

  • ACCA考官文章分享

    考官文章

  • 往年考前串讲直播

    思维导图

回到顶部
折叠
网站地图

Copyright © 2000 - www.fawtography.com All Rights Reserved. 北京正保会计科技有限公司 版权所有

京B2-20200959 京ICP备20012371号-7 出版物经营许可证 京公网安备 11010802044457号

恭喜你!获得专属大额券!

套餐D大额券

去使用