扫码下载APP
及时接收最新考试资讯及
备考信息
坚持不懈,才能找到更好的自己。正保会计网校每周精选《资产评估实务一》练习题,希望能够对大家的基础知识进行一下检测和巩固!

1.多选题
一般情况下,不动产清查核实的内容有()。
A.实物状态
B.权利状态
C.市场利率
D.区位和交易状况
E.会计核算情况
【正确答案】ABDE
【答案解析】一般情况下,不动产清查核实的内容有实物状态、权利状态、区位和交易状况、会计核算情况等四个方面。
2.多选题
对不动产的清查核实,通常可以采用的手段包括()。
A.目测
B.询问
C.全部使用专业的不动产鉴定
D.查阅档案
E.专业机构鉴定意见
【正确答案】ABDE
【答案解析】通常可以采用目测、询问、查阅档案、专业机构鉴定意见等方式,对不动产进行清查核实,选项ABDE是答案。只有当评估人员认为不能确定不动产状态时,才需要考虑进行不动产的专业鉴定,而不是全部使用,选项C不是答案。
3.单选题
对所评估的不动产进行清查核实时,要了解不动产的账面原值、账面净值等情况,此属于对()进行清查核实。
A.权利状态
B.会计核算情况
C.实物状态
D.区位和交易状况
【正确答案】B
【答案解析】对所评估的不动产进行清查核实时,在会计核算情况的清查核实中,要了解待估对象的账面价值,包括了解不动产的账面原值、账面净值等情况。
4.多选题
运用收益法对不动产进行评估,需满足的前提条件有()。
A.被评估不动产的市场参照物及其相比较的指标、技术参数等资料是可以搜集的
B.收益期内,不动产权益拥有者获得未来预期收益所承担的风险可以预测,并可用货币来衡量
C.被评估不动产的未来收益必须是可以预测并可用货币来衡量的
D.被评估不动产预期获利年限可以预测E.被评估不动产的未来收益可以预测但无法用货币衡量
【正确答案】BCD
【答案解析】运用收益法对不动产进行评估,需满足其使用的前提条件:(1)不动产的未来收益必须是可以预测并可用货币来衡量的。(2)收益期内,不动产权益拥有者获得未来预期收益所承担的风险可以预测,并可用货币来衡量。(3)不动产预期获利年限可以预测。选项BCD是答案,选项E不是答案。选项A为采用市场法评估不动产的前提条件之一,选项A不是答案。
5.单选题
某写字楼年净收益为420万元,未来三年内仍然维持该水平,预计三年后该写字楼为现在价格的1.3倍,届时将把写字楼转售,采用报酬资本化法,报酬率为13%。该写字楼现在的价格最接近()。
A.992万元
B.3306万元
C.10014万元
D.12723万元
【正确答案】C
【答案解析】
在收益期内,采用将收益期折现的方法,收益期结束后转售,选用持有加转售模式进行评估,分两阶段评估价格。
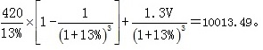
评估值V=

【思路点拨】
计算过程如下:
V=420/13%×{1-1/[(1+13%)^3]}+V×1.3/[(1+13%)^3]
即,V=991.68409110+V×0.90096521
即,V-V×0.90096521=991.68409110
即,V×(1-0.90096521)=991.68409110
即,V=991.68409110/(1-0.90096521)
即,V=10013.49
注:计算过程中小数点位数的保留,会造成计算结果的尾差,但是不影响本题答案的选择。
如:
计算过程中保留4位小数,则计算过程如下:
V=420/13%×{1-1/[(1+13%)^3]}+V×1.3/[(1+13%)^3]
即,V=991.6841+V×0.9010
即,V-V×0.9010=991.6841
即,V×(1-0.9010)=991.6841
即,V=991.6841/(1-0.9010)
即,V=10017.01
6.单选题
某不动产开发项目建筑面积3850m2,建设期2年,根据市场调查分析,该项目建成时可售出50%,半年和一年后分别售出30%和20%,出售时的平均单价为2850元/m2,折现率为15%。开发完成后的不动产于建设期初的价值为()。
A.572.21万元
B.765.85万元
C.791.24万元
D.912.62万元
【正确答案】C
【答案解析】3850×2850×(50%/1.15 2+30%/1.15 2.5+20%/1.15 3)=791.24(万元)。
7.单选题
运用剩余法评估不动产价值时,下列关于预测开发完成后不动产开发价值的说法错误的是()。
A.对于出售的写字楼,用市场法确定开发完成后的不动产总开发价值
B.对于出租的写字楼,用市场法确定不动产出租的净收益,再用收益法将出租净收益折现为不动产总开发价值
C.对于出售的居住用商品房,用市场法确定开发完成后的不动产总开发价值
D.对于出租的商业楼宇,用市场法确定不动产出租的总开发价值
【正确答案】D
【答案解析】对于出售的不动产,如居住用商品房、商业楼宇、写字楼、工业厂房等,可采用市场法确定开发完成后的不动产总开发价值,选项A和选项C的说法正确。对于出租的不动产,如写字楼和商业楼宇等,首先采用市场法确定开发不动产出租的净收益,然后采用收益法将出租净收益折现为不动产总开发价值,选项B的说法正确,选项D的说法不正确。
推荐阅读:
Copyright © 2000 - www.fawtography.com All Rights Reserved. 北京正保会计科技有限公司 版权所有
京B2-20200959 京ICP备20012371号-7 出版物经营许可证
京公网安备 11010802044457号
套餐D大额券
¥
去使用