扫码下载APP
及时接收最新考试资讯及
备考信息
越优秀的人,越懂得自律。对自己狠一点,才能活得更美好。正保会计网校为大家精心准备了资产评估师每日一练,每天做一道,每天都涨分!
单选题
某写字楼年净收益为420万元,未来三年内仍然维持该水平,预计三年后该写字楼为现在价格的1.3倍,届时将把写字楼转售,采用报酬资本化法,报酬率为13%。该写字楼现在的价格最接近( )。
A、992万元
B、3306万元
C、10014万元
D、12723万元

【思路点拨】
计算过程如下:
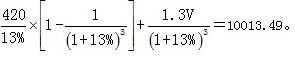
V=420/13%×{1-1/[(1+13%)^3]}+V×1.3/[(1+13%)^3]
即,V=991.68409110+V×0.90096521
即,V-V×0.90096521=991.68409110
即,V×(1-0.90096521)=991.68409110
即,V=991.68409110/(1-0.90096521)
即,V=10013.49
注:计算过程中小数点位数的保留,会造成计算结果的尾差,但是不影响本题答案的选择。
如:
计算过程中保留4位小数,则计算过程如下:
V=420/13%×{1-1/[(1+13%)^3]}+V×1.3/[(1+13%)^3]
即,V=991.6841+V×0.9010
即,V-V×0.9010=991.6841
即,V×(1-0.9010)=991.6841
即,V=991.6841/(1-0.9010)
即,V=10017.01

资产评估师每日一练题目都是网校老师精心整理的,每一道题都会有相应知识点的考查,并提供答案解析,建议您做完题之后再去查看答案。每日一练还提供专业点评,每周根据大家的测试结果,对于正确率较低的题目进行一下点评,以帮助大家理解。祝大家考试顺利!
Copyright © 2000 - www.fawtography.com All Rights Reserved. 北京正保会计科技有限公司 版权所有
京B2-20200959 京ICP备20012371号-7 出版物经营许可证
京公网安备 11010802044457号
套餐D大额券
¥
去使用