您还不是会员
正保会计网校
为了帮助广大学员备战资产评估师考试,正保会计网校精心为大家整理了资产评估师考试各科目知识点,希望能够提升您的备考效果,祝您学习愉快!
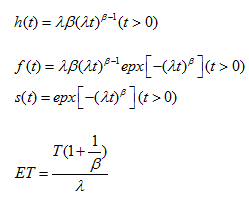
知识点:威布尔分布
验证码:
初级会计职称 指南 报名 查分 真题 复习
中级会计职称 指南 动态 查分 真题 复习
高级会计师 指南 动态 真题 评审 复习
注册会计师 指南 动态 查分 真题 复习
税务师 指南 动态 查分 真题 复习
资产评估师 指南 动态 大纲 试题 复习
证券从业 指南 动态 报名 试题 复习
基金从业 指南 动态 报名 试题 复习
会计实训系统 基础业务 税务 行业 审计
实操/就业 零基础 出纳 基础会计 主管
会计机构 会计服务机构 财会培训机构
会计基础知识 复习指导 会计培训 试题中心
Copyright © 2000 - 2024 www.fawtography.com All Rights Reserved. 北京正保会计科技有限公司 版权所有
京B2-20200959 京ICP备20012371号-7 出版物经营许可证 京公网安备 11010802044457号