24周年

财税实务 高薪就业 学历教育
APP下载
APP下载新用户扫码下载
立享专属优惠

安卓版本:8.7.80 苹果版本:8.7.80

开发者:北京正保会计科技有限公司

应用涉及权限:查看权限>

APP隐私政策:查看政策>

HD版本上线:点击下载>

注册税务师考试《财务与会计》预习:有价证券投资管理

来源: 正保会计网校 编辑: 2014/03/19 13:38:43  字体:

选课中心

多样班次随心选

选课中心

资料专区

备考干货任你学

资料专区

免费题库

海量题目等你练

免费题库

会计人证件照

省时省力又省钱

会计人证件照

报名提醒

备考省心又安心

报名提醒

2014年注册税务师备考已经开始,为了帮助参加2014年注册税务师考试的学员巩固知识,提高备考效果,正保会计网校精心为大家整理了注册税务师考试各科目知识点,希望对广大考生有所帮助。

  第五章 投资管理

  知识点三、有价证券投资管理   

一、股票投资

(一)股票投资的优缺点

1.优点

(1)投资收益高;

(2)能降低购买力损失;

(3)流动性很强;

(4)能达到控制股份公司的目的。

2.缺点

风险大

(二)股票投资的动机

不同投资者的动机是不相同的。主要动机有:一是短期投资,结合企业管理现金,将暂时闲置的资金投资购买股票以获取短期投资收益;二是长期投资,是以实现参与股份公司的经营管理和控制股份公司为目标。前者目的是为了获利,后者是为了控股。

(三)股票的估价模型

1.基本模型

(1)永远持有的普通股票

式中:

P-普通股票的价值;

di-第i年应支付的股利;

k-投资者要求的报酬率。

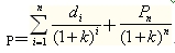
(2)只持有n期,第n期末以Pn的价格出售

式中:

P-普通股票的价值;

di-第i年应支付的股利;

Pn-在第n期末将股票出售的价格;

k-投资者要求的报酬率。

2.零增长模型

式中:

P-普通股票的价值;

d0-上一期刚支付的固定股利;

k-投资者要求的报酬率。

3.固定增长模型

式中:

P-普通股票的价值;

d0-上一期刚支付的股利;

d1-下一期预计支付的股利;

g-股利的增长速度;

k-投资者要求的报酬率。

二、债券投资

(一)债券投资的优缺点

1.优点

(1)投资收益比较稳定;

(2)投资安全性好。

2.缺点

购买债券不能达到参与和控制发行企业经营管理活动的目的。

(二)债券估价模型

1.一年付息一次的债券估价模型

特点:每年底债券持有人都会得到当年的利息,在债券到期日收到债券的本金。

P=I×PVAk,n+A×PVk,n 其中:

P-债券价值;

k-使用的贴现率;

A-票面值;

n-债券距到期日的时间。

2.到期一次还本付息的债券估价模型

特点:在未到期日之前不支付利息,当债券到期时,一次支付全部的本金和利息,一般情况下,这种债券的利息是按单利计息。

其中:

P-债券价值;

i-票面利率;

k-市场利率;

A-票面值;

n-债券距到期日的时间。

3.贴现发行债券的估价模型

特点:在债券上没有票面利率,只有面值。在债券发行时,以低于面值的价格发行,到期时按面值偿还,面值与发行价格的差额作为债券的利息。

其中:

P-债券价值;

A-票面值;

k-市场利率;

n-债券距到期日的时间。 

  相关链接:
  2014年注册税务师考试《财务与会计》第五章预习知识点汇总

学员讨论(0
回到顶部
折叠
网站地图

Copyright © 2000 - www.fawtography.com All Rights Reserved. 北京正保会计科技有限公司 版权所有

京B2-20200959 京ICP备20012371号-7 出版物经营许可证 京公网安备 11010802044457号