25周年

财税实务 高薪就业 学历教育
APP下载
APP下载新用户扫码下载
立享专属优惠

安卓版本:8.8.80 苹果版本:8.8.80

开发者:北京正保会计科技有限公司

应用涉及权限:查看权限>

APP隐私政策:查看政策>

HD版本上线:点击下载>

2014注册税务师考试《财务与会计》预习:债务资金的筹集

来源: 正保会计网校 编辑: 2014/03/18 10:46:05  字体:

选课中心

多样班次随心选

选课中心

资料专区

备考干货任你学

资料专区

财会题库

海量题目等你练

免费题库

会计人证件照

省时省力又省钱

会计人证件照

报考指南

考试资讯一目了然

报考指南

2014年注册税务师备考已经开始,为了帮助参加2014年注册税务师考试的学员巩固知识,提高备考效果,正保会计网校精心为大家整理了注册税务师考试各科目知识点,希望对广大考生有所帮助。

  第四章 筹资管理

  知识点三、债务资金的筹集

  一、债务资金的特点与内容

特点  所有权属于债权人;企业只能在一定时期内使用。 
内容  债务资金由流动负债和长期负债两部分构成。
流动负债又称短期负债,包括向金融机构借入的短期资金、发行短期债券筹集的资金以及在生产经营活动中形成的各种应付、应交款项;
长期负债包括企业向金融机构借入的长期资金、发行长期债券筹集的资金以及通过融资租赁形成的长期应付款项等  

  二、筹集债务资金的方式

  (一)发行公司债券

  1.公司债券的种类

  (1)按债券是否记名,可分为记名债券和无记名债券;

  (2)按能否转换为公司股票,可分为可转换为股票的公司债券和不可转换为股票的公司债券;

  (3)按是否上市流通,可分为上市债券和非上市债券;

  (4)按偿还期限的长短,可分为长期债券和短期债券;

  (5)按支付利息的形式不同,可分为固定利息债券、浮动利息债券和贴息债券;

  (6)按发行的保证条件不同,可分为抵押债券、担保债券和信用债券。

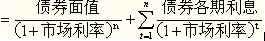
  2.公司债券的发行价格

  债券发行价格=债券面值的现值+债券各期利息的现值

  

  公司债券的发行价格有溢价、折价和平价三种:

  当票面利率 >市场利率,溢价发行;

  当票面利率 <市场利率,折价发行;

  当票面利率=市场利率,平价发行。

  3.债券的信用等级

  债券信用等级表示债券质量的优劣,反映发行公司还本付息能力的强弱和债券投资风险的大小。国际上流行的债券等级,一般分为九级。

  根据中国人民银行的规定,凡是向社会公开发行债券的企业,需由中国人民银行及其授权的分行指定的评级机构或公证机构进行信用评级。

  4.债券筹资方式的优缺点

  (二)金融机构借款

  包括短期借款和长期借款。

  1.短期借款

  (1)信用条件

  短期借款的信用条件一般包括信用额度、周转信用协议、补偿余额和借款抵押。

  (2)利率分类

  ①按照金融机构的利率政策分为:优惠利率和非优惠利率;

  ②按照利率的基本特征分为简单利率、浮动利率、贴现利率和加息利率。

  (3)短期借款筹资方式的优点

  短期借款的筹资速度快;款项使用灵活。

  2.长期借款

  (1)长期借款的利率

  长期借款的利率通常分为固定利率和浮动利率两类。

  对于借款企业来说,在市场利率呈上升趋势时使用固定利率有利,呈下降趋势时,使用浮动利率有利。

  (2)长期借款筹资方式优缺点

  优点:筹资速度快;资金成本较低;款项使用灵活;

  缺点:财务风险较高;限制性条件较多。

  (三)租赁

  租赁分为融资租赁和经营租赁。

  1.融资租赁

  融资租赁又称购物租赁,是指实质上转移了与资产所有权有关的全部风险和报酬的租赁。其所有权最终可能转移,也可能不转移。

  (1)融资租赁的具体形式

  ①直接租赁:出租公司出资向生产厂商购买承租企业所需要的设备,然后再租赁给承租企业。

  ②转租租赁:出租公司从其他租赁公司或制造厂商租入设备,然后再转租给承租企业。

  ③售后回租:承租企业将自己拥有的设备出售给出租公司,然后再从出租公司租回设备的使用权。

  ④杠杆租赁:由出租公司出部分资金,其余资金以设备做抵押向金融机构借款,购买设备,然后将设备出租给承租企业。

  (2)租金的影响因素

  ①设备价款及运杂费、运输途中的保险费

  ②租赁手续费

  ③利息

  ④设备残值

  ⑤租金的支付方式

  (3)融资租赁的特点

  ①租赁物的专用性较强,一般是专用设备

  ②租赁期内承租方应将租赁物视同企业固定资产管理并计提折旧及负责维修保养,但不得单方解除合同。

  ③租赁期较长,一般超过设备寿命周期的75%或接近其寿命周期。

  ④当租赁期满后,出租公司一般将设备作价卖给承租企业。

  2.经营租赁

  经营租赁又称服务租赁,是指除融资租赁以外的其它租赁。通常情况下,在经营租赁中,租赁资产的所有权不转移,租赁期届满后,承租人有退租或续租的选择权,而不存在优惠购买选择权。

  (1)特点

  ①租赁物一般为通用设备;

  ②租赁期内出租方提供技术服务并负责维修,承租方可根据实际情况随时解除租赁合同

  ③租赁期较短,租赁物可反复租赁给不同的承租人使用;

  ④租赁期满后,租赁物一般退还给出租人,不发生转让行为。

  (2)租赁筹资的优缺点

  与其他筹资方式相比:

  ①及时获得所需设备的使用权;

  ②减少设备投资的风险;

  ③租赁费用较高。

  (四)商业信用

  商业信用是商品交易中以延期付款或预收货款方式进行购销活动所发生的信用形式。

  商业信用的形式主要有:应付账款、应付票据和预收账款。

  (五)票据贴现

  票据贴现是企业急需资金时,将未到期的有价证券交付银行,由银行按照贴现率扣除贴现利息后取得资金的一种信用形式。

  相关链接:
  2014年注册税务师考试《财务与会计》第四章预习知识点汇总

学员讨论(0
回到顶部
折叠
网站地图

Copyright © 2000 - www.fawtography.com All Rights Reserved. 北京正保会计科技有限公司 版权所有

京B2-20200959 京ICP备20012371号-7 出版物经营许可证 京公网安备 11010802044457号

恭喜你!获得专属大额券!

套餐D大额券

去使用