扫码下载APP
及时接收最新考试资讯及
备考信息

【知识点5】投资中心的业绩评价指标
投资报酬率、剩余收益、经济增加值等指标是经常用来衡量投资中心业绩的指标。
1.投资报酬率法
投资报酬率表示的是部门利润与部门投资占用资本的比率。计算公式如下:
![]()
2.剩余收益法
剩余收益等于部门的息税前利润减去部门投资所占用的资本成本。其计算公式为:
剩余收益=息税前利润-投资占用资本的成本
=息税前利润-投资占用的资本×平均资本成本率
注:非流动资产+营运资本=长期负债+所有者权益
这里的平均资本成本率指的是税前的。
3.经济增加值
经济增加值是剩余收益的一种特殊计算方法。
经济增加值方法较之传统的剩余收益评价方法有两个方面的重大突破:
一是对会计准则所歪曲的会计利润数据进行了调整;
二是金融学中资本资产定价模型能够推导出反映非系统风险的权益成本率,进一步推导出资本加权平均成本率,经济增加值方法结合了资本资产定价模型,将资本加权平均成本率引入了计算公式。
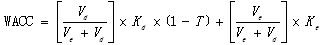
EVA=税后净营业利润-占用资本×加权平均资本成本率WACC
![]()
以上是注册税务师《税法一》的相关知识点,希望对您有所帮助。为了帮助参加CTA考试的学员巩固知识、提高备考效果,正保会计网校特意大家整理了注税考试各科目练习题,祝您备考顺利!
Copyright © 2000 - www.fawtography.com All Rights Reserved. 北京正保会计科技有限公司 版权所有
京B2-20200959 京ICP备20012371号-7 出版物经营许可证
京公网安备 11010802044457号
套餐D大额券
¥
去使用