25周年

财税实务 高薪就业 学历教育
APP下载
APP下载新用户扫码下载
立享专属优惠

安卓版本:8.8.80 苹果版本:8.8.80

开发者:北京正保会计科技有限公司

应用涉及权限:查看权限>

APP隐私政策:查看政策>

HD版本上线:点击下载>

2017税务师《财务与会计》知识点股票和债券的估价模型及配套练习

来源: 正保会计网校 编辑: 2017/10/09 14:54:30  字体:

选课中心

多样班次随心选

选课中心

资料专区

备考干货任你学

资料专区

财会题库

海量题目等你练

免费题库

会计人证件照

省时省力又省钱

会计人证件照

报考指南

考试资讯一目了然

报考指南

2017税务师备考倒计时,你的备考进度如何了?为了帮助各位考生巩固学习效果,正保会计网校特整理了税务师《财务与会计》科目的重要知识点及其配套练习,练习题均来自网校梦想成真系列辅导书,希望对大家有所帮助!

知识点:股票和债券的估价模型

【知识点详解】

一、股票估价模型

1.基本模型

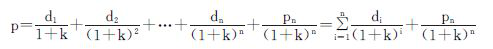
(1)对永远持有的普通股票,其估价模型为:

(2)若投资者只持有n期,在第n期末将股票以Pn的价格出售,则股票估价模型为:

2.零增长模型

零增长模型是普通股票的股利增长速度为零,即每年的股利保持不变,这种股票价格的估价模型为:

P=d0/k(即为永续年金现值计算公式)

3.固定增长模型

P=[d0×(1+g)]/(k-g)=d1/(k-g)

二、债券估价模型

1.一年付息一次的债券估价模型

一年付息一次的债券是每年底债券的持有人都会得到当年的利息,在债券到期日收回债券的本金,则该债券的价值可由下式计算:

2.到期一次还本付息的债券估价模型

债券在未到期之前不支付利息,当债券到期时,一次支付全部的本金及利息,一般情况下,债券的利息是按单利计息(计算到期时的现金流)。

到期一次还本付息的债券估价模型为:

P=[F×(1+n×i)]/(1+k)n(复利现值计算,债券面值+全部利息为终值)

3.贴现发行债券的估价模型

贴现发行的债券是在债券上没有票面利率,只有票面值的债券。在债券发行时,以低于票面值的价格发行,到期时按面值偿还,面值与发行价格的差额作为债券的利息。

贴现发行债券的估价模型为:

P=F/(1+k)n(复利现值计算,注意,债券面值是终值)

【经典习题】

1.(《经典题解》第5章P48)甲公司拟对外发行面值为60万元,票面年利率为6%、每半年付息一次、期限为4年的公司债券。若债券发行时的市场年利率为8%,则该债券的发行价格是()万元。[已知(P/A,8%,4)=3.312,(P/A,4%,8)=6.732,(P/F,8%,4)=0.735,(P/F,4%,8)=0.731]

A.55.98B.56.02

C.58.22D.60.00

【答案】A

【解析】债券的发行价格=60×6%×1/2×(P/A,4%,8)+60×(P/F,4%,8)=60×6%×1/2×6.732+60×0.731=55.98(万元)

2.(《应试指南》第5章P56)某投资人持有甲公司的股票,要求的报酬率为12%。预计甲公司未来三年的每股股利分别为1.0元、1.2元、1.5元。在此以后转为正常增长,年增长率为8%。则该公司股票的内在价值为()元。[已知:(P/F,12%,1)=0.8928,(P/F,12%,2)=0.7972,(P/F,12%,3)=0.7118]

A.29.62B.31.75

C.30.68D.28.66

【答案】B

【解析】股票的价值=1.0×(P/F,12%,1)+1.2×(P/F,12%,2)+1.5×(P/F,12%,3)+1.5×(1+8%)/(12%-8%)×(P/F,12%,3)=31.75(元)

本文是正保会计网校原创文章,转载请注明来自正保会计网校。

学员讨论(0
回到顶部
折叠
网站地图

Copyright © 2000 - www.fawtography.com All Rights Reserved. 北京正保会计科技有限公司 版权所有

京B2-20200959 京ICP备20012371号-7 出版物经营许可证 京公网安备 11010802044457号

恭喜你!获得专属大额券!

套餐D大额券

去使用