扫码下载APP
及时接收最新考试资讯及
备考信息
成功是留给有准备的人,正所谓“凡事预则立,不预则废”,2017年税务师备考已经拉开帷幕,目前为预习阶段,还没有开始学习的学员应抓紧时间备考,可根据网校制定的预习计划表来安排自己的学习进度。为了帮助广大考生高效备考,网校依据2016年税务师教材,整理了税务师《财务与会计》科目的重要知识点,供大家参考学习,祝大家学习愉快!

第四章 筹资与股利分配管理
知识点:加权资本成本
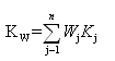
加权资本成本是企业筹集和使用全部资金所付出的代价。它是各种筹资方式的资本成本的加权平均数,其权数为各种筹资方式资金的数额占全部资金的比重。

式中,Wj表示第j种筹资方式的资金占全部资金的比重;
表示第j种筹资方式的资本成本。
【备注】权数选择标准:①账面价值权数;②市场价值权数;③目标价值权数。
【关键考点】掌握加权资本成本的计算。
注:本文原创于正保会计网校(//www.fawtography.com),转载请注明出处!
Copyright © 2000 - www.fawtography.com All Rights Reserved. 北京正保会计科技有限公司 版权所有
京B2-20200959 京ICP备20012371号-7 出版物经营许可证
京公网安备 11010802044457号
套餐D大额券
¥
去使用