25周年

财税实务 高薪就业 学历教育
APP下载
APP下载新用户扫码下载
立享专属优惠

安卓版本:8.8.70 苹果版本:8.8.70

开发者:北京正保会计科技有限公司

应用涉及权限:查看权限>

APP隐私政策:查看政策>

HD版本上线:点击下载>

2015年注税考试《财务与会计》知识点:未来现金流量折现法

来源: 正保会计网校 编辑: 2014/08/12 11:16:21  字体:

选课中心

多样班次随心选

选课中心

资料专区

备考干货任你学

资料专区

财会题库

海量题目等你练

免费题库

会计人证件照

省时省力又省钱

会计人证件照

报考指南

考试资讯一目了然

报考指南

  为了帮助广大学员备战2015年cta考试,正保会计网校精心为大家整理了注税考试各科目知识点,希望能够帮助您巩固知识,祝您学习愉快!

  知识点:未来现金流量折现法

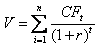
  1.未来现金流量的折现公式

  式中:

  V-资产的价值;

  CF-未来现金流量;

  r-折现率;

  t-期限。

  通过上述公式可见,资产价值的决定因素有三个:未来现金流量、折现率和期限。

  2.未来现金流量

  (1)投资项目的现金流量,用于评估投资项目的价值。

  (2)自由现金流量,即企业维护正常的生产经营之后剩余的现金流量。自由现金流量主要用于企业价值评估。

  3.折现率

  折现率应当等于无风险收益率与风险报酬率之和。

  4.期限

  在每年现金流量和折现率既定前提下,期限越长,折现值就越大,即资产的价值越大。

学员讨论(0
回到顶部
折叠
网站地图

Copyright © 2000 - www.fawtography.com All Rights Reserved. 北京正保会计科技有限公司 版权所有

京B2-20200959 京ICP备20012371号-7 出版物经营许可证 京公网安备 11010802044457号

恭喜你!获得专属大额券!

套餐D大额券

去使用