扫码下载APP
及时接收最新考试资讯及
备考信息
2017年税务师备考已经拉开帷幕,目前为预习阶段,跟着正保会计网校预习阶段课程提前学习打好基础。以下是正保会计网校分享的税务师考试《财务与会计》年金计算的相关知识点,祝您备考顺利!
知识点:年金计算
(1)普通年金的终值和现值的计算
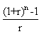
①普通年金终值
F=A× 
当A=1时,F=
=(F/A,r,n),即年金终值系数。
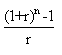
②普通年金现值
P=A× 
当A=1时,P=
=(P/A,r,n),即年金现值系数。
(2)预付年金终值与现值的计算
(3)偿债基金的计算
偿债基金是为了偿还若干年后到期的债券,每年必须积累固定数额的资金。从计算的角度来看,就是在普通年金终值中解出A,这个A就是偿债基金。计算公式如下:
A=
(4)年均投资回收额的计算
年均投资回收额是为了收回现在的投资,在今后一段时间内每年收回相等数额的资金。 年均投资回收额的计算相当于已知年金现值计算年金的问题。 计算公式:A=P/(p/A,r,n)
(5)永续年金
永续年金是指无限期的年金,因此没有终值,但是可以计算现值。
现值的计算公式:P=A/r
(6)递延年金
相关推荐:
Copyright © 2000 - www.fawtography.com All Rights Reserved. 北京正保会计科技有限公司 版权所有
京B2-20200959 京ICP备20012371号-7 出版物经营许可证
京公网安备 11010802044457号
套餐D大额券
¥
去使用