扫码下载APP
及时接收最新考试资讯及
备考信息
2015年CTA备考已经开始,为了帮助参加2015年注册税务师考试的学员巩固知识,提高备考效果,正保会计网校精心为大家整理了注册税务师《财务与会计》考试科目各章节知识点,以下是上篇“财务”—— 第五章“投资管理”中关于“有价证券投资管理”知识点内容,希望对广大考生有所帮助。

上篇 财务 —— 第五章 投资管理
5.3 有价证券投资管理
知识点、股票投资
(一)股票投资的优缺点
1.优点
(1)投资收益高;
(2)能降低购买力损失;
(3)流动性很强;
(4)能达到控制股份公司的目的。
2.缺点
风险大
(二)股票投资的动机
不同投资者的动机是不相同的。主要动机有:一是短期投资,结合企业管理现金,将暂时闲置的资金投资购买股票以获取短期投资收益;二是长期投资,是以实现参与股份公司的经营管理和控制股份公司为目标。前者目的是为了获利,后者是为了控股。
(三)股票的估价模型
1.基本模型
(1)永远持有的普通股票

式中:
P-普通股票的价值;
d i-第i年应支付的股利;
k-投资者要求的报酬率。
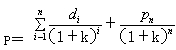
(2) 只持有n期,第n期末以Pn的价格出售

式中:
P-普通股票的价值;
d i-第i年应支付的股利;
P n-在第n期末将股票出售的价格;
k-投资者要求的报酬率。
2.零增长模型
![]()
式中:
P-普通股票的价值;
d0-上一期刚支付的固定股利;
k-投资者要求的报酬率。
3.固定增长模型
![]()
式中:
P-普通股票的价值;
d 0-上一期刚支付的股利;
d 1-下一期预计支付的股利;
g-股利的增长速度;
k-投资者要求的报酬率。
说明:因考试政策、内容不断变化与调整,正保会计网校提供的以上信息仅供参考,如有异议,请考生以权威部门公布的内容为准!

正保会计网校2015年注册税务师考试网上辅导热招中,为帮助广大考生提前备考,2015年新课已经开通,即报即学!
Copyright © 2000 - www.fawtography.com All Rights Reserved. 北京正保会计科技有限公司 版权所有
京B2-20200959 京ICP备20012371号-7 出版物经营许可证
京公网安备 11010802044457号
套餐D大额券
¥
去使用