扫码下载APP
接收最新考试资讯
及备考信息
无论多少岁,什么身份,都配得上五彩缤纷的生活。记得永远保有对生活热情、对生命负责的心态。通过日积月累的练习,相信你一定能在2023年注册会计师考试中取得优异的成绩!
单选题
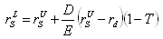
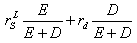
假设MM理论的假设条件都成立,在不考虑所得税的情况下,甲企业的加权平均资本成本为15%,权益资本成本为20%。假设所得税税率为25%,则在考虑所得税的情况下,甲企业的权益资本成本为( )。
A、18.75%
B、20%
C、17.5%
D、无法计算
=

注册会计师每日一练题目都是网校老师精心整理的,每一道题都会有相应知识点的考查,并提供答案解析,建议您做完题之后再去查看答案。每日一练还提供专业点评,每周根据大家的测试结果,对于正确率较低的题目进行一下点评,以帮助大家理解。祝大家考试顺利!
Copyright © 2000 - www.fawtography.com All Rights Reserved. 北京正保会计科技有限公司 版权所有
京B2-20200959 京ICP备20012371号-7 出版物经营许可证
京公网安备 11010802044457号
套餐D大额券
¥
去使用