扫码下载APP
接收最新考试资讯
及备考信息
正保会计网校CPA每日一练在线测试,登录后即可进行免费测试,如有疑问可以到答疑板与专家进行交流,24小时之内即可得到满意答复。欢迎大家积极参与!
单选题
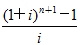
假设银行利率为i,从现在开始每年年末存款1元,n年后本利和为
元。如果改为每年年初存款,存款期数不变,n年后的本利和应为( )元。
A、![]()
B、![]()
C、![]()
D、![]()
【正确答案】D
【答案解析】预付年金终值系数与普通年金终值系数相比,期数加1,而系数减1。

注册会计师:每日一练《公司战略与风险管理》(2015-04-30)
CPA《每日一练》包括网校精编题目测试和历年试题测试两大部分。注册学员登录后系统记录做题结果,方便您随时查看在线测试记录,让您的复习备考更加科学有效。为了帮助大家提高应试能力,正保会计网校除了开设每日一练,还有机考模拟系统、移动班、题库、考点汇编电子书等多种形式的试题练习中心,通过这些试题练习,可以从各个层次和角度深入了解考试大纲和教材的内容!
正保会计网校
2015-04-30
Copyright © 2000 - www.fawtography.com All Rights Reserved. 北京正保会计科技有限公司 版权所有
京B2-20200959 京ICP备20012371号-7 出版物经营许可证
京公网安备 11010802044457号
套餐D大额券
¥
去使用