扫码下载APP
接收最新考试资讯
及备考信息
为了帮助广大学员备战2014年注册会计师考试,正保会计网校精心为大家整理了注册会计师考试各科目知识点,希望能够提升您的备考效果,祝您学习愉快!
知识点:普通年金的终值与现值
一、有关年金的相关概念
1.年金的含义
年金,是指等额、定期的系列收支。具有两个特点:一是金额相等;二是时间间隔相等。
2.年金的种类

二、普通年金的计算
1.普通年金终值计算:(注意年金终值的含义、终值点)

2.普通年金现值的计算

3.年偿债基金和年资本回收额的计算
①偿债基金的计算
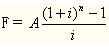
简单地说,如果是已知年金终值求年金,则属于计算偿债基金问题,即根据普通年金终值公式求解A(反向计算),这个A就是偿债基金。
根据普通年金终值计算公式:![]()
可知:![]()
式中的
是普通年金终值系数的倒数,称偿债基金系数,记作(A/F,i,n)。
【提示】这里注意偿债基金系数和年金终值系数是互为倒数的关系。
②投资回收额的计算
如果已知年金现值求年金,则属于计算投资回收额问题。即根据普通年金现值公式求解A,这个A就是投资回收额。计算公式如下:![]()
上式中,
称为投资回收系数,记作(A/P,i,n)。
【提示】资本回收系数与年金现值系数是互为倒数的关系。
【总结】系数间的关系
| 名 称 | 关系 |
| 复利终值系数与复利现值系数 | 互为倒数 |
| 普通年金终值系数与偿债基金系数 | 互为倒数 |
| 普通年金现值系数与投资回收系数 | 互为倒数 |
Copyright © 2000 - www.fawtography.com All Rights Reserved. 北京正保会计科技有限公司 版权所有
京B2-20200959 京ICP备20012371号-7 出版物经营许可证
京公网安备 11010802044457号