扫码下载APP
接收最新考试资讯
及备考信息
荀子说过:“骐骥一跃不能十步,驽马十驾功在不舍”,这句话对于广大的注会考生来说再合适不过。2017年注册会计师考试备考已经开始,现阶段是预习的黄金时期,学员可以根据网校预习计划表来安排自己的学习进度。以下是网校依据2016年注会教材,整理的注会《财务成本管理》科目知识点,用于预习阶段学习,祝大家备考愉快,梦想成真!

第四章 价值评估基础
知识点:风险与报酬
风险的基本概念:
风险可以理解为预期结果的不确定性。
| 单项资产风险与报酬 | ||
| 已知未来收益率发生的概率 | 预期值(期望值或均值) | 预期值反映预计收益的平均化,不能直接用来衡量风险 |
| 标准差 | 标准差是方差的开平方,当预期值相同时,标准差越大,风险越大 |
|
| 变异系数(离散系数) | 变异系数=标准差/预期值 变化系数衡量风险不受预期值是否相同的影响 |
|
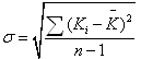
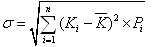
| 已知收益率发生的历史数据 | 预期值(期望值或均值) | |
| 标准差 | ![]() |
|
| 变异系数(离散系数) | 变异系数=标准差/预期值 变化系数衡量风险不受预期值是否相同的影响 |
|
Copyright © 2000 - www.fawtography.com All Rights Reserved. 北京正保会计科技有限公司 版权所有
京B2-20200959 京ICP备20012371号-7 出版物经营许可证
京公网安备 11010802044457号
套餐D大额券
¥
去使用