24周年

财税实务 高薪就业 学历教育
APP下载
APP下载新用户扫码下载
立享专属优惠

安卓版本:8.8.51 苹果版本:8.8.51

开发者:北京正保会计科技有限公司

应用涉及权限:查看权限>

APP隐私政策:查看政策>

HD版本上线:点击下载>

2016年注册会计师《财管》预习:债券的价值评估

来源: 正保会计网校 编辑: 2015/11/26 09:53:44  字体:

选课中心

书课题助力备考

选课中心

资料专区

硬核干货等你学

资料专区

免费题库

海量好题免费做

免费题库

会计人证件照

省时省力又省钱

会计人证件照

注会报考指南

新手提前了解

详情

  2016年注册会计师备考已经开始,目前处于预习阶段,学员可以根据网校预习计划表来安排自己的学习进度。以下是网校依据2015年注会教材,整理的注会各科目知识点,用于预习阶段学习,祝大家备考愉快!

第六章 债券、股票价值评估

  知识点:债券的价值评估

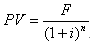
  1.债券的估值模型

模型
适用情况
价值计算

基本模型
典型债券
【特征】固定利率、每年计算并支付利息、到期归还本金。

  
其他模型
平息债券
【特征】利息在到期时间内平均支付。支付频率可能是1年1次、半年1次或每季度一次等。
平息债券价值=未来各期利息的现值+面值的现值
【提示】
如果平息债券一年复利多次,计算价值时,现金流量按照计息周期利率(票面)确定,折现需要按照折现周期折现率进行折现。
纯贴现债券
【特征】承诺在未来某一确定日期按面值支付的债券。这种债券在到期日前购买人不能得到任何现金支付,因此也称为“零息债券”。

【注意】纯贴现债券(零息债券)没有标明利息计算规则的,通常采用按年计息的复利计算规则。
【特殊情况】在到期日一次还本付息债券,实际上也是一种纯贴现债券,只不过到期日不是按票面额支付而是按本利和作单笔支付。
永久债券
【特征】没有到期日,永不停止定期支付利息的债券。
PV=利息额/折现率
流通债券
【特征】①到期时间小于债券的发行在外的时间。②估价的时点不在计息期期初,可以是任何时点,会产生“非整数计息期”问题。
流通债券的估价方法有两种:
①以现在为折算时间点,历年现金流量按非整数计息期折现。
②以最近一次付息时间(或最后一次付息时间)为折算时间点,计算历次现金流量现值,然后将其折算到现在时点。
无论哪种方法,都需要计算非整数期的折现系数。

  2.影响债券价值的因素

  (1)折现率

  (2)到期时间

  (3)利息支付频率

  (4)债券面值

  相关链接:2016年注册会计师考试《财务成本管理》预习第六章知识点

学员讨论(0
回到顶部
折叠
网站地图

Copyright © 2000 - www.fawtography.com All Rights Reserved. 北京正保会计科技有限公司 版权所有

京B2-20200959 京ICP备20012371号-7 出版物经营许可证 京公网安备 11010802044457号

恭喜你!获得专属大额券!

套餐D大额券

去使用