扫码下载APP
接收最新考试资讯
及备考信息
为了帮助广大学员备战2015年注册会计师考试,正保会计网校精心为大家整理了注册会计师考试各科目知识点,希望能够提升您的备考效果,祝您学习愉快!

知识点:股票的价值
股票的价值是指股票预期能够提供的所有未来现金流量的现值。
(一)零增长股票的价值
假设未来股利不变,其支付过程是一个永续年金,则股票价值为:![]()
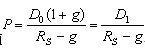
(二)固定增长股票的价值
有些企业的股利是不断增长的,假设其增长率是固定的。
计算公式为:![]()
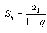
各年股利如下:D0(1+g);D0(1+g)2;D0(1+g)3…
各年股利现值:
上列各项成等比数列,首项a1为
,公比q为![]()
如果Rs>g;则公比<1,为无穷递缩等比数列
求和公式:![]()
无穷递缩等比数列的和即为股票未来现金流量的现值,也就是股票价值
【提示】注意四点:
(1)做题时如何区分D1和D0
如果给出预期将要支付的每股股利,则是D1;如果给出已支付的股利,则是D0。
(2)Rs的确定。如果题目中没有给出,一般应用资本资产定价模型确定。
(3)g的确定。一般情况下会直接给出。
①g还可根据可持续增长率来估计(在满足可持续增长的假设条件的情况下,股利增长率等于可持续增长率)。
②如果企业股利政策采用固定股利支付率政策,则股利增长率g=净利润增长率。
(4)以上两个模型还可以作为计算两种特殊类型现金流量现值的公式使用。
(三)非固定增长股票的价值
在现实生活中,有的公司股利是不固定的。在这种情况下,就要分段计算,才能确定股票的价值。
计算方法:两阶段模型
第一阶段:一般高增长
第二阶段:固定增长或零增长
Copyright © 2000 - www.fawtography.com All Rights Reserved. 北京正保会计科技有限公司 版权所有
京B2-20200959 京ICP备20012371号-7 出版物经营许可证
京公网安备 11010802044457号
套餐D大额券
¥
去使用