25周年

财税实务 高薪就业 学历教育
APP下载
APP下载新用户扫码下载
立享专属优惠

安卓版本:8.8.70 苹果版本:8.8.70

开发者:北京正保会计科技有限公司

应用涉及权限:查看权限>

APP隐私政策:查看政策>

HD版本上线:点击下载>

如何学注会《财管》:考虑发行费用的发行成本计算方法

来源: 正保会计网校 编辑: 2014/06/12 11:44:53  字体:

选课中心

书课题助力备考

选课中心

资料专区

硬核干货等你学

资料专区

财会题库

海量好题等你练

免费题库

会计人证件照

省时省力又省钱

会计人证件照

注会报考指南

新手提前了解

详情

《会计》 《审计》  《税法》  《经济法》  《财务成本管理》  《公司战略与风险管理》 

债券发行成本和普通股发行成本是学员在正保会计网校注会考前辅导精品班的班级讨论中比较喜欢涉及的内容。筹资成本中,由于大多数的债务筹资是私下进行而不是通过公开发行,大多数权益筹资来自内部留存收益而非外部权益筹资,因此没有发行费用。如果公开发行债务和股权,发行成本就需要给予重视,还要考虑发行费用的问题。

一、债务的发行成本

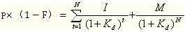
如果在估计债务成本时考虑发行费用,则需要将其从筹资额中扣除。此时,债务的税前成本Kd应使下式成立:

债券价格

税后债务成本KdtKd×(1T

其中:P是债券价格;M是债券面值;F是发行费用率 ;n是债券的到期时间;T是公司的所得税税率;I是每年的利息数量;Kd是经发行成本调整后的债务税前成本。

二、普通股的发行成本

新发行普通股的成本,也被称为外部股权成本。新发行普通股会发生发行成本,所以它比留存收益进行再投资的内部股权成本要高一些。

如果将筹资费用考虑在内,新发普通股成本的计算公式则为:

新发普通股成本

式中,F是普通股筹资费用率。

由于正保会计网校为注会考前辅导精品班的学员们分配班级,所以他们遇到学习备考上的问题就可以到班级中跟同学们一起讨论,更快地得到辅导专家的答疑回复,对注会复习备考的帮助挺大的。类似上面的发行成本问题,就是精品班学员们关注的问题之一。

2014年注册会计师精品班招生方案>>

【上一页】 【下一页】

推荐栏目:注册会计师考试教材    注会试题

学员讨论(0
回到顶部
折叠
网站地图

Copyright © 2000 - www.fawtography.com All Rights Reserved. 北京正保会计科技有限公司 版权所有

京B2-20200959 京ICP备20012371号-7 出版物经营许可证 京公网安备 11010802044457号

恭喜你!获得专属大额券!

套餐D大额券

去使用