25周年

财税实务 高薪就业 学历教育
APP下载
APP下载新用户扫码下载
立享专属优惠

安卓版本:8.8.70 苹果版本:8.8.70

开发者:北京正保会计科技有限公司

应用涉及权限:查看权限>

APP隐私政策:查看政策>

HD版本上线:点击下载>

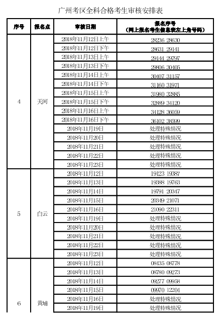
广州考区2018年度会计职称中级资格考后资格复核通知

来源: 广州市财政局 编辑:wangjiasi 2018/11/08 16:23:02  字体:

招生方案

书课题助力备考

选课中心

资料专区

硬核干货等你学

资料专区

财会题库

海量好题等你练

财会题库

会计人证件照

照片一键处理

会计人证件照

考试提醒

考试节点全知晓

考试提醒

广州考区2018年度全国会计专业技术中级资格考后资格复核的通知


广州考区2018年度会计职称中级资格考后资格复核通知

广州考区2018年度会计职称中级资格考后资格复核通知

广州考区2018年度会计职称中级资格考后资格复核通知

广州考区2018年度会计职称中级资格考后资格复核通知

广州考区2018年度会计职称中级资格考后资格复核通知

广州考区2018年度会计职称中级资格考后资格复核通知

广州考区2018年度会计职称中级资格考后资格复核通知

广州考区2018年度会计职称中级资格考后资格复核通知

广州考区2018年度会计职称中级资格考后资格复核通知

广州考区2018年度会计职称中级资格考后资格复核通知

广州考区2018年度会计职称中级资格考后资格复核通知

广州市财政局

2018-11-06

说明:因考试政策、内容不断变化与调整,正保会计网校提供的中级会计职称考试信息仅供参考,如有异议,请考生以权威部门公布的内容为准!

学员讨论(0
回到顶部
折叠
网站地图

Copyright © 2000 - www.fawtography.com All Rights Reserved. 北京正保会计科技有限公司 版权所有

京B2-20200959 京ICP备20012371号-7 出版物经营许可证 京公网安备 11010802044457号

恭喜你!获得专属大额券!

套餐D大额券

去使用