扫码下载APP
及时接收最新考试资讯及
备考信息
山东2020中级会计考试报名已经结束,缴费还在进行中。有考生咨询山东济南2020中级会计考试报名费发票如何打印?经小伙伴电话致电当地有关部门,得到以下回复:
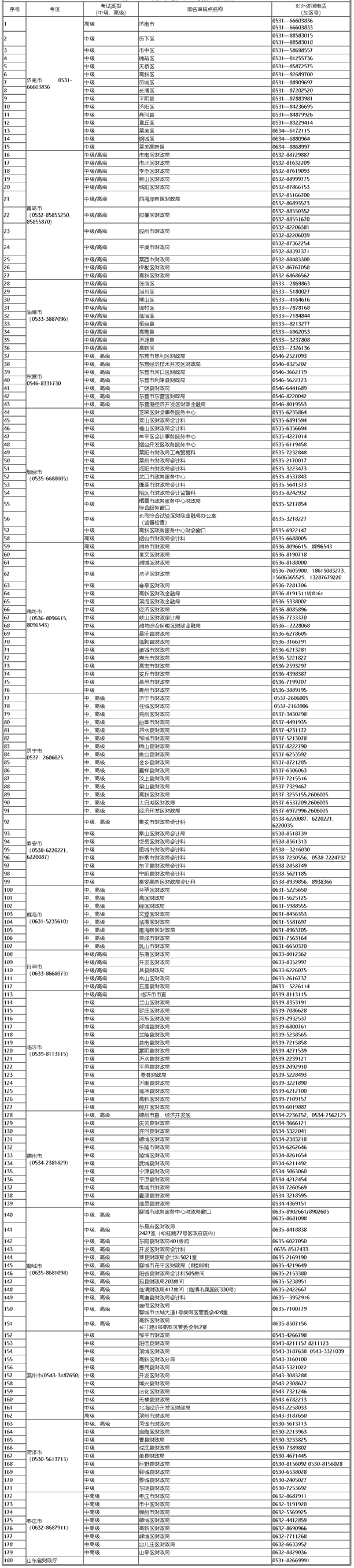
考生需要将自己的报名回执单、缴费回执、自己的邮箱,发送至邮箱jnczlgh@jn.shandong.cn ,然后致电济南市考区 0531-66603836,回复自己已发送邮箱,请尽快出具发票。若考生仍不清楚可致电以下电话:

山东报名时间为2020年3月12日0:00至3月30日12:00,网上审核时间至3月31日12:00截止,缴费时间至3月31日22:00截止。缴费截止后系统关闭,不再接受补报。报考人员应于缴费完成后,及时登录报名系统查询报名是否成功。每日22:00-24:00为系统对账时间,不能进行缴费。
三分天注定,七分靠打拼,爱拼才会赢~2020年中级会计备考早已开始,超值精品班|高效实验班等各种班次,选你所需,令你事半功倍,马上报课学习>
说明:因考试政策、内容不断变化与调整,正保会计网校提供的考试信息仅供参考,如有异议,请考生以权威部门公布的内容为准!
更多推荐:
Copyright © 2000 - www.fawtography.com All Rights Reserved. 北京正保会计科技有限公司 版权所有
京B2-20200959 京ICP备20012371号-7 出版物经营许可证
京公网安备 11010802044457号
套餐D大额券
¥
去使用