扫码下载APP
及时接收最新考试资讯及
备考信息
2013年《财务管理》考试大纲——第六章 投资管理
[基本要求]
(一)掌握企业投资的分类
(二)掌握证券资产的特点和证券投资的目的
(三)掌握证券资产投资的风险
(四)熟悉投资项目的现金流量及其测算
(五)熟悉投资管理财务评价指标
(六)熟悉项目投资财务决策方法
(七)熟悉债券投资、股票投资的价值估计
(八)了解企业投资管理的特点、管理原则
[考试内容]
第一节 投资管理的主要内容
企业投资,是企业为获取未来收益而向一定对象投放资金的经济行为。
一、企业投资的作用
(1)投资是企业生存与发展的基本前提;(2)投资是获取利润的基本前提;(3)投资是企业风险控制的重要手段。
二、企业投资管理的特点
(1)属于企业的战略性决策;(2)属于企业的非程序化管理;(3)投资价值的波动性大。
三、企业投资的分类
(一)直接投资和间接投资
按投资活动与企业本身的生产经营活动的关系,企业投资可以划分为直接投资和间接投资。直接投资,是将资金直接投放于形成生产经营能力的实体性资产,直接谋取经营利润的企业投资。间接投资,是将资金投放于股票、债券等权益性资产上的企业投资。
(二)项目投资与证券投资
按投资对象的存在形态和性质,企业投资可以划分为项目投资和证券投资。
企业可以通过投资,购买具有实质内涵的经营资产,包括有形资产和无形资产,形成具体的生产经营能力,开展实质性的生产经营活动。这类投资,称为项目投资。项目投资的目的在于改善生产条件、扩大生产能力,以获取更多的经营利润。项目投资,属于直接投资。
企业可以通过投资,购买具有权益性的证券资产,通过证券资产上所赋予的权力,间接控制被投资企业的生产经营活动,获取投资收益。这种投资,称为证券投资。
(三)发展性投资与维持性投资
按投资活动对企业未来生产经营前景的影响,企业投资可以划分为发展性投资和维持性投资。发展性投资,是指对企业未来的生产经营发展全局有重大影响的企业投资。维持性投资,是为了维持企业现有的生产经营正常顺利进行,不会改变企业未来生产经营发展全局的企业投资。
(四)对内投资与对外投资
按投资活动资金投出的方向,企业投资可以划分为对内投资和对外投资。对内投资,是指在本企业范围内部的资金投放,用于购买和配置各种生产经营所需的经营性资产。对外投资,是指向本企业范围以外的其他单位的资金投放。
(五)独立投资与互斥投资
按投资项目之间的相互关联关系,企业投资可以划分为独立投资和互斥投资。
独立投资是相容性投资,各个投资项目之间互不关联、互不影响,可以同时并存。独立投资项目决策考虑的是方案本身是否满足某种决策标准。
互斥投资是非相容性投资,各个投资项目之间相互关联、相互替代,不能同时并存。互斥投资项目决策考虑的是各方案之间的排斥性,互斥决策需要从每个可行方案中选择最优方案。
四、投资管理的原则
(1)可行性分析原则;(2)结构平衡原则;(3)动态监控原则。
第二节 投资项目财务评价指标
常用的财务可行性评价指标有净现值、年金净流量、现值指数、内含报酬率和回收期等,围绕这些评价指标进行评价也产生了净现值法、内含报酬率法、回收期法等评价方法。同时,按照是否考虑了货币时间价值来分类,这些评价指标可以分为静态评价指标和动态评价指标。考虑了货币时间价值因素的称为动态评价指标,没有考虑货币时间价值的称为静态评价指标。
一、项目现金流量
由一项长期投资方案所引起的在未来一定期间所发生的现金收支,叫做现金流量(Cash Flow)。其中,现金收入称为现金流入量,现金支出称为现金流出量,现金流入量与现金流出量相抵后的余额,称为现金净流量(Net Cash Flow,NCF)。一般情况下,现金流量指的是现金净流量。
(一)投资期
投资阶段的现金流量主要是现金流出量,即在该投资项目上的原始投资,包括在长期资产上的投资和垫支的营运资金。
(二)营业期
营业阶段是投资项目的主要阶段,该阶段既有现金流入量,也有现金流出量。现金流入量主要是营运各年的营业收入,现金流出量主要是营运各年的付现营运成本。
在营业期不追加营运资本投资的情况下,投资项目正常营运阶段所获得的营业现金流量,可按下列公式进行测算:
营业现金净流量
=营业收入一付现成本一所得税
=税后营业利润+非付现成本
=收入×(1一所得税率)一付现成本×(1一所得税率)+非付现成本×所得税率
式中,非付现成本主要是固定资产年折旧费用、长期资产摊销费用、资产减值准备。
(三)终结期
终结阶段的现金流量主要是现金流入量,包括固定资产变价净收入、处置固定资产净损失抵税和垫支营运资金的收回。
二、净现值(NPV)
(一)基本原理
净现值(NPV)=未来现金净流量现值-原始投资额现值
计算净现值时,要按预定的贴现率对投资项目的未来现金流量进行贴现,预定贴现率是投资者所期望的最低投资报酬率。净现值为正,方案可行,说明方案的实际报酬率高于所要求的报酬率;净现值为负,方案不可取,说明方案的实际投资报酬率低于所要求的报酬率。
当净现值为零时,说明方案的投资报酬刚好达到所要求的投资报酬。所以,净现值的经济实质是投资方案报酬超过基本报酬后的剩余收益。
(二)对净现值法的评价
净现值法简便易行,其主要的优点在于:第一,适用性强,能基本满足项目年限相同的互斥投资方案的决策。第二,能灵活地考虑投资风险。
净现值也具有明显的缺陷,主要表现在:第一,所采用的贴现率不易确定。第二,不适宜于独立投资方案的比较决策。第三,净现值有时也不能对寿命期不同的互斥投资方案进行直接决策。
三、年金净流量(ANCF)
项目期间内全部现金净流量总额的总现值(即净现值)折算为等额年金的平均现
金净流量,称为年金净流量(Annual NCF)。年金净流量的计算式为:
年金净流量=净现值/年金现值系数
与净现值指标一样,年金净流量指标的结果大于零,说明每年平均的现金流入能抵补现金流出,投资项目的净现值大于零,方案的报酬率大于所要求的报酬率,方案可行。在两个以上寿命期不同的投资方案比较时,年金净流量越大,方案越好。
年金净流量法是净现值法的辅助方法,在各方案寿命期相同时,实质上就是净现值法。因此它适用于期限不同的投资方案决策。但同时,它也具有与净现值法同样的缺点,不便于对原始投资额现值不相等的独立投资方案进行决策。
四、现值指数(PVI)
现值指数(Present Value Index)是投资项目的未来现金净流量现值与原始投资额
现值之比。计算式为:
现值指数=未来现金净流量现值/原始投资额现值
若现值指数大于1,方案可行,说明方案实施后的投资报酬率高于预期报酬率;若现值指数小于l,方案不可行,说明方案实施后的投资报酬率低于预期报酬率。现值指数越大,方案越好。
现值指数法也是净现值法的辅助方法,在各方案原始投资额现值相同时,实质上就是净现值法。由于现值指数是未来现金净流量现值与所需投资额现值之比,是一个相对数指标,反映了投资效率,所以,用现值指数指标来评价独立投资方案,可以克服净现值指标的缺点,从而使对方案的分析评价更加合理、客观。
五、内含报酬率(IRR)
(一)基本原理
内含报酬率(Internal Rate of Return),是指使净现值等于零时的贴现率。内含报酬率是投资方案的实际可能达到的投资报酬率。
(二)对内含报酬率法的评价
内含报酬率法的主要优点在于:第一,内含报酬率反映了投资项目可能达到的报酬率,易于被高层决策人员所理解。第二,对于独立投资方案的比较决策,如果各方案原始投资额现值不同,可以通过计算各方案的内含报酬率,并与现值指数法结合,反映各独立投资方案的获利水平。
内含报酬率法的主要缺点:第一,计算复杂,不易直接考虑投资风险大小。第二,在互斥投资方案决策时,如果各方案的原始投资额现值不相等,有时无法作出正确的决策。
六、回收期(PP)
回收期是指投资项目的未来现金净流量(或现值)与原始投资额(或现值)相等时所经历的时间,即原始投资额通过未来现金流量回收所需要的时间。用回收期指标评价方案时,回收期越短越好。
(一)静态回收期
静态回收期没有考虑货币时间价值,直接用未来现金净流量累计到原始投资数额时所经历的时间作为回收期。
(二)动态回收期
动态回收期需要将投资引起的未来现金净流量进行贴现,以未来现金净流量的现值等于原始投资额现值时所经历的时间为回收期。
第三节 项目投资管理
项目投资,是指将资金直接投放于生产经营实体性资产,以形成生产能力,开展生产经营活动的投资。项目投资一般是企业的对内投资,也包括以实物性资产投资于其他企业的对外投资。
一、独立投资方案的决策
独立投资方案的决策属于筛分决策,评价各方案本身是否可行,即方案本身是否达到某种预期的可行性标准。独立投资方案之间比较时,决策要解决的问题是如何确定各种可行方案的投资顺序。排序分析时,以各独立方案的获利程度作为评价标准,一般采用内含报酬率法进行比较决策。
二、互斥投资方案的决策
互斥投资方案,方案之间互相排斥,不能并存,因此决策的实质在于选择最优方案,属于选择决策。选择决策要解决的问题是应该淘汰哪个方案,即选择最优方案。从选定经济效益最大的要求出发,互斥决策以方案的获利数额作为评价标准。因此一般采用净现值法和年金净流量法进行选优决策。但由于净现值指标受投资项目寿命期的影响,因而年金净流量法是互斥方案最恰当的决策方法。
三、固定资产更新决策
从决策性质上看,固定资产更新决策属于互斥投资方案的决策类型。因此,固定资产更新决策所采用的决策方法是净现值法和年金净流量法,一般不采用内含报酬率法。
第四节 证券投资管理
证券投资的对象是金融资产,金融资产是一种以凭证、票据或者合同合约形式存在的权利性资产,如股票、债券及其衍生证券等。
一、证券资产的特点
(1)价值虚拟性;(2)可分割性;(3)持有目的多元性;(4)强流动性;(5)高风险性。
二、证券投资的目的
(1)分散资金投向,降低投资风险;(2)利用闲置资金,增加企业收益;(3)稳定客户关系,保障生产经营;(4)提高资产的流动性,增强偿债能力。
三、证券资产投资的风险
(一)系统性风险
系统性风险影响到资本市场上的所有证券,无法通过投资多元化的组合而加以避免,也称为不可分散风险。系统性风险包括:
(1)价格风险:是指由于市场利率上升,而使证券资产价格普遍下跌的可能性。
(2)再投资风险:是指由于市场利率下降,而造成的无法通过再投资而实现预期收益的可能性。
(3)购买力风险:是指由于通货膨胀而使货币购买力下降的可能性。
(二)非系统性风险
非系统性风险可以通过持有证券资产的多元化来抵销,也称为可分散风险。非系统性风险是公司特有风险,从公司内部管理的角度考察,公司特有风险的主要表现形式是公司经营风险和财务风险。从公司外部的证券资产市场投资者的角度考察,公司经营风险和财务风险的特征无法明确区分,公司特有风险是以违约风险、变现风险、破产风险等形式表现出来的。
(1)违约风险:是指证券资产发行者无法按时兑付证券资产利息和偿还本金的可能性。
(2)变现风险:是指证券资产持有者无法在市场上以正常的价格平仓出货的可能性。
(3)破产风险:是指在证券资产发行者破产清算时投资者无法收回应得权益的可能性。
四、债券投资
(一)债券要素
(1)债券面值;(2)债券票面利率;(3)债券到期日。
(二)债券的价值
将在债券投资上未来收取的利息和收回的本金折为现值,即可得到债券的内在价值。债券的内在价值也称为债券的理论价格,只有债券价值大于其购买价格时,该债券才值得投资。影响债券价值的因素主要有债券的期限、债券的面值、票面利率和所采用的贴现率等因素。
典型的债券类型,是有固定的票面利率、每期支付利息、到期归还本金的债券,这种债券模式下债券价值计量的基本模型是:
![]()
式中,Vb表示债券的价值,I表示债券各期的利息,M表示债券的面值,R表示债券价值评估时所采用的贴现率即所期望的最低投资报酬率。一般来说,经常采用市场利率作为评估债券价值时所期望的最低投资报酬率。
(三)债券投资的收益率
债券投资的收益率,是指按当前市场价格购买债券并持有至到期日或转让日,所产生的预期报酬率,也就是债券投资项目的内含报酬率。
五、股票投资
(一)股票的价值
投资于股票预期获得的未来现金流量的现值,即为股票的价值或内在价值、理论价格。
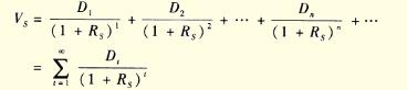
1.股票估价基本模型
如果股东不中途转让股票,投资于股票所得到的未来现金流量是各期的股利。假定某股票未来各期股利为D.(t为期数),尺s为估价所采用的贴现率即所期望的最低收益率,股票价值的估价模型为:
2.常用的股票估价模式
(1)固定增长模式。
如果公司本期的股利为D0,未来各期的股利按上期股利的g速度呈几何级数增长,则股票价值Vb为:
![]()
(2)零增长模式。
如果公司未来各期发放的股利都相等,那么这种股票与优先股是相类似的。或者说,当固定成长模式中g=0时,有:
(3)阶段性增长模式。
许多公司的股利在某一期间有一个超常的增长率,这段期间的增长率g可能大于Rs,而后阶段公司的股利固定不变或正常增长。对于阶段性成长的股票,需要分段计算,才能确定股票的价值。
(二)股票投资的收益率
股票投资的收益率,是在股票投资上未来现金流量贴现值等于目前的购买价格时的贴现率,也就是股票投资项目的内含报酬率。股票的内部收益率高于投资者所要求的最低报酬率时,投资者才愿意购买该股票。在固定增长股票估价模型中,用股票的购买价格P0代替内在价值Vs,有:

说明:因考试政策、内容不断变化与调整,正保会计网校提供的以上信息仅供参考,如有异议,请考生以权威部门公布的内容为准!
Copyright © 2000 - www.fawtography.com All Rights Reserved. 北京正保会计科技有限公司 版权所有
京B2-20200959 京ICP备20012371号-7 出版物经营许可证
京公网安备 11010802044457号
套餐D大额券
¥
去使用