扫码下载APP
及时接收最新考试资讯及
备考信息
不积跬步,无以至千里;不积小流,无以成江海。2023中级会计职称备考火热进行中,零碎时间利用起来,日积月累知识点,提高进步看得见!达江老师倾情制作,带领大家逐步解决中级会计难题!
《财务管理》今日掌握—名义利率和实际利率
名义利率和实际利率
当计息周期小于一年时,就出现名义利率和实际利率的概念。
(一)名义利率的计算
概念:计息周期利率i乘以一年内的计息周期数m所得的年利率,即
r=i×m
(二)实际利率的计算
1.计息周期实际利率的计算
i=r/m
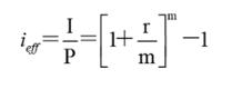
2.年实际利率的计算
年实际利率(实际利率)的计算公式:
『例题』现设年名义利率r=10%,则年、半年、季、月、日的年实际利率如下表所示。
年名义利率(r) | 计算期 | 年计算次数(m) | 计算期利率(i=r/m) | 年实际利率(ieff) |
10% | 年 | 1 | 10% | 10% |
半年 | 2 | 5% | 10.25% | |
季 | 4 | 2.5% | 10.38% | |
月 | 12 | 0.833% | 10.47% | |
日 | 365 | 0.0274% | 10.52% |
◆每年计息周期越多,年实际利率和名义利率相差就越大。
『例题•单选题』某借款利息每半年计息一次,年报价利率为6%,则实际借款利率为( )。
A.6% B.6.09% C.12% D.12.24%
『答案』B
『解析』实际利率=(1+6%/2)^2-1=6.09%
没看懂?来听听老师的视频小课堂,包教包会!
全屏观看效果更佳哦!
看完你学会了吗?微信扫描下方二维码还可以领取高效实验班预习课+免费资料礼包哦!

Copyright © 2000 - www.fawtography.com All Rights Reserved. 北京正保会计科技有限公司 版权所有
京B2-20200959 京ICP备20012371号-7 出版物经营许可证
京公网安备 11010802044457号
套餐D大额券
¥
去使用