24周年

财税实务 高薪就业 学历教育
APP下载
APP下载新用户扫码下载
立享专属优惠

安卓版本:8.7.80 苹果版本:8.7.80

开发者:北京正保会计科技有限公司

应用涉及权限:查看权限>

APP隐私政策:查看政策>

HD版本上线:点击下载>

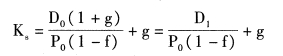
中级会计财务管理考点巩固—股利增长模型法

来源: 正保会计网校 编辑:木子 2022/07/19 10:28:13  字体:

招生方案

书课题助力备考

选课中心

资料专区

硬核干货等你学

资料专区

免费题库

海量好题免费做

免费题库

会计人证件照

照片一键处理

会计人证件照

考试提醒

考试节点全知晓

考试提醒

不积跬步,无以至千里;不积小流,无以成江海。2022中级会计职称备考火热进行中,零碎时间利用起来,日积月累知识点,提高进步看得见!李忠魁老师倾情制作,带领大家逐步解决中级会计难题!

今日掌握—股利增长模型法

某公司普通股市价为30元,筹资费用率为2%,本年发放现金股利每股0.6元,预期股利年增长率为10%。则:
讲解一下
  

没看懂?来听听李忠魁老师的视频小课堂,包教包会

全屏观看效果更佳哦!

看完你学会了吗?微信扫描下方二维码还可以领取李忠魁老师亲编专属备考秘籍哦!

微信扫码领取李忠魁老师亲编备考秘籍

大好时光,开始学习,尽早踏上中级会计职称备考之路吧!更多考点大集合>>

学员讨论(0
回到顶部
折叠
网站地图

Copyright © 2000 - www.fawtography.com All Rights Reserved. 北京正保会计科技有限公司 版权所有

京B2-20200959 京ICP备20012371号-7 出版物经营许可证 京公网安备 11010802044457号