扫码下载APP
及时接收最新考试资讯及
备考信息
今天为大家准备的中级会计知识点是:系统风险及其衡量。各位,还记得昨天的知识点吗?!温故而知新,在学习新知识的同时不要忘记对学习过的知识进行复习,这样才能完全掌握中级会计考试的所有内容。正保会计网校每天都会为各位更新中级会计的知识点,快来学习吧!
系统风险及其衡量
(1)系统风险:又被称为市场风险或不可分散风险,是影响所有资产的、不能通过资产组合而消除的风险。
如:宏观经济形势的变动、国家经济政策的变化、税制改革、企业会计准则改革、世界能源状况、政治因素等。
提示:不同资产的系统风险不同,即系统风险对不同的资产影响不一样。
(2)单项资产的系统风险系数(β系数)
①定义:某资产的β系数表达的含义是该资产的系统风险相当于市场组合系统风险的倍数。
②单个资产β系数与市场组合系统风险的关系:市场组合的β系数=1。
第一:β>1表明该资产收益率的变动幅度大于市场组合收益率的变动幅度,则该资产的系统风险大于市场组合的系统风险。
第二:β=1表明该资产收益率的变动幅度等于市场组合收益率的变动幅度,则该资产的系统风险等于市场组合的系统风险。
第三:β<1表明该资产收益率的变动幅度小于市场组合收益率的变动幅度,则该资产的系统风险小于市场组合的系统风险。
第四:β=0表明该资产没有风险。
第五:β<0表明该资产的收益率与市场平均收益率的变化方向相反。
(3)市场组合及其系统风险
①市场组合是指由市场上所有资产组成的组合,它的收益率就是市场平均收益率。
②市场组合没有非系统风险。
③市场组合的β系数=1。
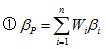
(4)证券资产组合的β系数

②显然:投资组合的β系数受单项资产的β系数和各项资产在投资组合中所占比重两个因素的影响。
成功离不开积累,每天学习一个中级会计知识点,你就离取得中级会计证又近了一步。正保会计网校为各位奋斗在中级会计考试之路上的考生每天都准备了重要的知识点,每天坚持打卡学习,你会有意想不到的收获,加入中华会计网,和各位老师高志谦、郭建华、达江、侯永斌等一起学习,进步会更快哦~
相关推荐:
Copyright © 2000 - www.fawtography.com All Rights Reserved. 北京正保会计科技有限公司 版权所有
京B2-20200959 京ICP备20012371号-7 出版物经营许可证
京公网安备 11010802044457号
套餐D大额券
¥
去使用