扫码下载APP
及时接收最新考试资讯及
备考信息
2014年中级会计职称备考已经开始,为了帮助参加2014年中级会计职称考试的学员掌握基础知识,提高备考效果,正保会计网校精心为大家整理了中级会计职称考试各科目知识点,希望对广大考生有所帮助。
股票投资
(一)股票的价值
指的是投资于股票预期获得的未来现金流量的现值。
1.股票估价基本模型:

优先股价值计算为:
2.常用的股票估价模式
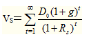
(1)固定增长模式
股票价值Vs为:

因为g是一个固定的常数,上式可以化简为:
![]()
(2)零增长模式
公司股票价值为:
(3)阶段性增长模式
分段折现合计。
(二)股票投资的收益率
1.股票收益的来源
由股利收益、股利再投资收益、转让价差收益三部分构成。
2.股票的内部收益率
在固定成长股票估价模型中,用股票的购买价格P0代替内在价值VS,有:
如果投资者不打算长期持有股票,股票投资收益率是使股票投资净现值为零时的贴现率,计算公式为:

Copyright © 2000 - www.fawtography.com All Rights Reserved. 北京正保会计科技有限公司 版权所有
京B2-20200959 京ICP备20012371号-7 出版物经营许可证
京公网安备 11010802044457号
套餐D大额券
¥
去使用