扫码下载APP
及时接收最新考试资讯及
备考信息
2022年中级会计职称备考已经开始啦!为帮助大家备考,正保会计网校特从答疑板中精选了学员学习过程中出现的问题,专业老师给出详细答疑。以下是中级会计职称财务管理答疑精华,希望对大家有帮助!

问题:

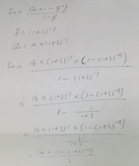
等比例求和最后的怎么约分简便式?求过程全解
回答:
普通年金现值公式,不需要按照等比例求和的公式推导,看一下教材81页的推导过程:


注:以上答疑精华来源于正保会计网校答疑板,网校老师会针对已购课学员提出的问题进行答疑。(网校答疑板使用攻略)
更多答疑精华:2022年中级会计职称财务管理答疑精华汇总
Copyright © 2000 - www.fawtography.com All Rights Reserved. 北京正保会计科技有限公司 版权所有
京B2-20200959 京ICP备20012371号-7 出版物经营许可证
京公网安备 11010802044457号
套餐D大额券
¥
去使用