扫码下载APP
及时接收最新考试资讯及
备考信息
想要在中级会计职称考试中取得好成绩,必然少不了每天的坚持。为了帮助大家能够高效备考,网校为大家准备了中级会计职称财务管理知识点。赶快来学今天的中级会计职称财务管理知识点吧!

知识点:风险的衡量
(一)概率分布
一般随机事件的概率介于0与1之间;所有可能结果出现的概率之和必定为1
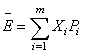
(二)期望值
概率分布中的所有可能结果,以各自相应的概率为权数计算的加权平均值
(三)离散程度
衡量离散程度指标有三个,分别是:方差、标准差和标准离差率,计算公式如下:
『提示1』标准差以绝对数衡量决策方案的风险,在期望值相同的情况下,标准差越大,风险越大,反之亦然。无风险资产的方差、标准差与标准离差率为零。
『提示2』标准离差率反映的是单位期望值所承担的风险,故不论期望值如何,标准离差率越大,风险越大,反之亦然。
『结论』标准差和方差不适用于比较预期收益率不同的资产的风险,标准离差率可以用来比较预期收益率不同的资产之间的风险大小。
正保会计网校陪你一起备战2021中级会计考试,2021年课程已经上线,购买2021年课程赠送2021年相应课程,快来了解一下吧!了解详情>>>
相关推荐:
Copyright © 2000 - www.fawtography.com All Rights Reserved. 北京正保会计科技有限公司 版权所有
京B2-20200959 京ICP备20012371号-7 出版物经营许可证
京公网安备 11010802044457号
套餐D大额券
¥
去使用