扫码下载APP
及时接收最新考试资讯及
备考信息
正保会计网校为大家准备了中级会计职称财务管理知识点。在你每天的勤奋练习下,相信你一定可以交上满意的答卷。快来学习中级会计职称财务管理知识点吧!

知识点:复利计息方式下的利率计算
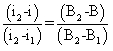
思路:已知现值(或终值)系数,可通过内插法计算对应的利率。
1.求出系数对应的数值;
2.查表得出与待求系数值最近的“一大一小”两个数值;
3.列式计算,务必注意比例关系的对应;
4.解出结果。
备考2021中级会计职称,网校会与你同在,肩并肩与你一起迎战考试,做你备考路上的坚强后盾!加入正保会计网校!了解详情>
相关推荐:
Copyright © 2000 - www.fawtography.com All Rights Reserved. 北京正保会计科技有限公司 版权所有
京B2-20200959 京ICP备20012371号-7 出版物经营许可证
京公网安备 11010802044457号
套餐D大额券
¥
去使用