扫码下载APP
及时接收最新考试资讯及
备考信息
在中级经济师备考中,《经济基础知识》第一章“弹性”知识点是很重要的内容,网校小编特整理了中级经济师经济基础第一章“市场需求、供给与均衡价格”涉及计算公式,希望对您备考中级经济师有帮助。
第一章 市场需求、供给与均衡价格
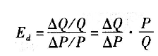
1、 需求价格弹性:
需求价格弹性指需求量对价格变动的反应程度,是需求量变动百分比与价格变动百分比的比率。
需求价格弹性系数=需求量的相对变动/价格的相对变动,公式如下:

如用Ed代表需求价格弹性系数,用P和ΔP分别表示价格和价格的变动量,用Q和ΔQ分别表示需求量和需求量的变动量
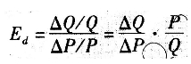
2、 点弹性系数
点弹性系数=需求量的相对变化/价格的相对变化
用公式表示为:

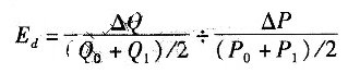
3、 弧弹性系数的计算公式为:需求量的相对变动量对价格的相对变动量的比值。

式中,Q0为变动前的需求量,Q1为变动后的需求量,ΔQ为需求的变动量;P0为变动前的价格,P1为变动后的价格,ΔP为价格的变动量。
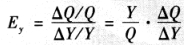
4、 需求收入弹性,是指需求量的变动和引起这一变动的消费者收入变动之比,它用以衡量需求变动对消费者收入变动的反应程度。其计算公式为:
![]()
式中:Ey代表需求的收入弹性系数,Q代表原需求量,ΔQ代表需求的变动量,Y代表原消费者收入,ΔY代表收入的变动量。
5、 交叉弹性系数
交叉弹性系数=商品i的需求量的相对变化/商品j的价格的相对变化
用公式表示为:

式中:Eij为需求交叉弹性;Qi为商品i的需求量,△Qi为商品i的需求变动量;Pj为商品j的价格,ΔPj为商品j的价格变动量。
6、供给价格弹性系数
供给价格弹性系数=供给量的相对变动/价格的相对变动
如用ES代表供给价格弹性系数,用P和ΔP分别表示价格和价的变动量,用Q和ΔQ分别表示供给量和供给量的变动量,则:

经济师备考错题整理很重要,网校特为您整理了备考过程中常见的易错题,希望对您有帮助,点击下图查看:
Copyright © 2000 - www.fawtography.com All Rights Reserved. 北京正保会计科技有限公司 版权所有
京B2-20200959 京ICP备20012371号-7 出版物经营许可证
京公网安备 11010802044457号
套餐D大额券
¥
去使用