24周年

财税实务 高薪就业 学历教育
APP下载
APP下载新用户扫码下载
立享专属优惠

安卓版本:8.7.80 苹果版本:8.7.80

开发者:北京正保会计科技有限公司

应用涉及权限:查看权限>

APP隐私政策:查看政策>

HD版本上线:点击下载>

2014年中级经济师考试《商业专业》知识点:配送合理化

来源: 正保会计网校整理 编辑: 2014/02/19 10:20:04  字体:

选课中心

书课题助力备考

选课中心

备考交流群

速来寻找学习搭子

备考交流群

资料专区

硬核干货等你来

资料专区

免费题库

海量好题免费做

免费题库

2014年经济师考试复习备考已经开始,网校特整理了经济师考试相关资料,希望本文能够帮助您全方位了解2014年的经济师考试,预祝您取得好成绩!

六、配送合理化

(一)配送的概念和作用

1.概念:配送是指在经济合理区域范围内,根据客户要求,对物品进行拣选、加工、包装、分割、组配等作业,并按时送达指定地点的物流活动。

2.配送的作用

从供方和需方分别来看。

(1) 从供方的角度来看,主要有:物流成本得以控制;实现库存集约化;提高顾客服务水平促进销售;有利于把握市场信息;有利于实现商物分离。

(2) 从需方的角度来看,主要有:降低进货成本;改善库存水平,使零库存成为可能;减少采购、验收和入库费用;减少交易次数、降低物流整体成本;提供流通加工服务、促进销售;促进信息沟通。

(二)配送服务的种类

1.按配送商品种类和数量不同

(1)单(少)品种大批量配送:A类商品。

(2)多品种、少批量配送:B、C类商品。

(3)配套成套配送:与多品种、少批量配送类似。

2.按配送时间和数量不同

(1)定时配送

按客户规定的时间间隔进行配送,每次配送的品种及数量可按照计划执行,也可以在配送之前以约定的联络方式确定配送品种及数量。

缺点是:如果配送数量变化较大,会使配送运力安排出现困难。

(2)定量配送

按照客户要求的数量在指定的时间范围内进行配送。优点:由于时间不严格限定,可以将不同客户的商品攒到一起进行配送,提高车辆满载率。

(3)定时定量配送

按照客户规定的时间、规定的数量进行配送。缺点:计划不容易制定,特殊性较强。

(4)定时、定线路配送

在规定的路线上制定到达时间表,按运行时间表进行配送,客户按照规定路线站及规定时间接货及提出配送要求。优点:有利于计划安排车辆和人员。在配送客户较多的地区,也可以免去过分复杂的配送要求所造成的配送组织工作及车辆安排的困难。

(5)即时配送

完全按照客户要求的时间和数量进行配送。缺点:对客户需求准确性的依赖程度高,否则配送计划难以实现。

3.按照组织者不同

(1)自营配送:自己组织;适合大型连锁企业。

(2)外包配送:外包给其他企业组织。

(3)共同配送:多个企业联合组织实施的配送活动。

(三)配送合理化的措施

1.合理规划配送中心

配送中心的网络规划与仓库网络规划相似,也必须考虑配送中心数量与物流总成本之间的关系,在满足客户配送需求的前提下,使配送成本尽可能降低。

2.开展共同配送

(1)共同配送的优点:①从货主的角度看,共同配送能在提高物流效率(减少运费,减少物流人力成本)的同时,利于少量、多频度、小单位配送业务的推广。②从汽车运输业者的角度看,实行共同配送可以提高企业资金利用率、促进输送单位大型化和信息网络化的发展,也是车辆融通以及装载效率提高成为可能,而且通过共同配送扩大了多频度、小单位配送这样的顾客服务的范围,提高了企业的客户服务水平。③从社会的角度看,共同配送排除了交错运输,减少了在途车辆,可以有效缓和交通以及防治环境污染等。

(2)共同配送的组织形式

1)同产业间的横向共同配送

2)异产业间的横向共同配送

3)纵向共同配送

3.科学制定配送计划

配送七要素:商品、客户、车辆、人员、路线、地点和时间。

4.优化配送路线

(1)确定配送线路规划的目标。

(2)配送路线选择的制约条件:满足所有收货人对商品品种、规格和数量的要求;满足收货人对商品送达时间范围的要求;在允许通行的时间段内进行配送;各配送路线的商品量不得超过车辆容积和载重量的限制;在配送中心现有运力允许的范围内配送。

5.提高配送车辆车载率

采用轻重商品配装法,充分利用车辆的容积和载重量,是降低配送成本的重要手段之一。

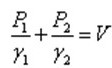
同一车内轻重商品的配装量可通过以下公式计算:同一车内轻重商品的配装量计算公式

P1+P2=P

式中 P——车辆标记载重量(吨);

P1——重体商品装载量(吨);

P2——轻体商品装载量(吨);

V ——车辆全部有效容积(立方米);

γ1——重体商品比重(吨/立方米);

γ2——轻体商品比重(吨/立方米)。

学员讨论(0
回到顶部
折叠
网站地图

Copyright © 2000 - www.fawtography.com All Rights Reserved. 北京正保会计科技有限公司 版权所有

京B2-20200959 京ICP备20012371号-7 出版物经营许可证 京公网安备 11010802044457号