扫码下载APP
及时接收最新考试资讯及
备考信息
本文为2014年中级经济师考试金融专业的备考必看知识点,希望本文能够帮助您更好的全面备考2014年经济师考试,祝您学习愉快!
第二节 利率的决定
一、利率决定理论
利率决定理论是利率理论的一个重要组成部分。在资本主义发展的早期,经济学家探讨的重点主要集中于利息来源、性质等关于利息本质的内容上;在现代经济中,利率作为资金的价格,不仅受到经济社会中许多因素的制约,而且,利率的变动对整个经济产生重大的影响,因此,现代经济学家在研究利率的决定问题时,特别重视各种变量的关系以及整个经济的平衡问题,利率决定理论也经历了古典利率理论、凯恩斯利率理论、可贷资金利率理论、IS-LM利率分析以及当代动态的利率模型的演变、发展过程。
(一)古典利率理论
关于纯利率或无风险利率决定因素的最古老的理论之一是古典利率理论。古典利率理论是在18世纪和19世纪由许多英国经济学家发展起来,20世纪初又由艾尔文·费雪加以完善的,流行于19世纪80、90年代至20世纪30年代。古典利率理论是一种实物利率理论,它是西方国家各种不同利率理论的一种总称,对其发展有影响的经济学家主要有庞巴维克(B?hn-Bawerk)马歇尔(A.Marrshall)庇古(A.C.Pigou)魏克赛尔(K.Wicksell)费雪(I.Fisher)等。
古典利率理论承袭了古典经济学重视实物因素的传统,认为利率是由储蓄的供给与投资资本的需求相互作用决定的,利率的变化是与资本的供给和需求的变化相联系的。企业、居民和政府的储蓄构成资本的供给,是决定利率的重要因素;企业的投资支出构成对资本的需求,是决定利率的另一个关键因素。高利率会带来较大的当前储蓄额,因而储蓄是利率的正函数;利率降低,企业预期回报率大于利率的可能性增加,企业需要更多的投资资本为更多项目融资,因而投资是利率的反函数,储蓄与投资的均衡决定了均衡利率水平。利率具有自动调节的功能,能够使储蓄与投资趋于均衡,由于起作用的只是投资与储蓄这个实物因素,完全没有货币的影响,因此,实物市场的均衡决定利率水平,即利率是由储蓄和投资的均衡点来决定的。这就是古典利率理论的核心。
如果用S表示储蓄曲线、用I表示投资曲线,古典利率理论如图3-1所示,交点E则决定利率水平。

图3-1古典利率理论
iE是储蓄与投资相等时的均衡利率水平,QE是均衡资本资金量。在一般情况下,利率可能高于或低于均衡利率水平,但却会向均衡利率移动,使利率重新回到均衡利率水平。如果市场利率暂时高于均衡利率,储蓄量将超过对投资资本的需求,造成超额的资本供给,储蓄者将以越来越低的利率提供资金直至市场利率达到均衡水平。如果市场利率暂时低于均衡利率,投资需求超过了可获得的储蓄量,企业将抬高利率直到利率达到储蓄等于投资需求的资金量水平。
古典利率理论被称为利率的长期理论,有助于我们理解推动利率的某些长期因素。但是,古典利率理论讨论的是由实物资本的供求所决定的利率,即一种实物利率,强调利率在经济中的自动调节作用,忽视了除储蓄与投资以外的影响利率的因素,存在严重的局限性。
(二)凯恩斯的货币利率理论
20世纪30年代,西方资本主义国家爆发了经济大危机,古典利率理论的利率具有自动调节机制的观点难于解释现实和指导实践,英国经济学家凯恩斯(J.M.keynes)1936年出版的著作《就业、利息和货币通论》一书对古典利率理论提出了质疑,提出了流动性偏好的货币利率理论,取代了古典利率理论而成为在利率研究领域占主导地位的利率理论。
凯恩斯认为,利率应该属于货币经济范畴,而不是属于实物经济范畴。利息完全是一种货币现象,是在一定时期内放弃货币、牺牲流动性所得的报酬,利息数量的大小,即利率的高低应该由货币数量和流动偏好这两个因素所决定,完全由货币的需求和货币的供给所决定。在现代经济中,货币供给受政府控制,或者至少是受到政府的严格监督,是政府政策的控制变量,政府关于货币供给规模的决定大致由公众福利而不是利率水平引导,货币供给一般对利率是没有弹性的,货币的需求则取决于人们对货币流动性的偏好。凯恩斯将人们对货币的需求分为三个动机的需求,即交易动机、预防动机和投机动机所形成的交易需求、预防需求和投机需求,而出于交易动机和预防动机所引出的货币需求主要由收入决定,是收入的递增函数;出于投动动机所引出的货币需求主要与利率有关,是利率的递减函数。因此,货币需求是收入和利率的函数,利率决定于由流动性偏好所决定的货币需求和货币供给相等的均衡点,货币供给等于货币需求时所决定的利率是货币利率理论的均衡利率。
如果用Ms代表货币供给曲线、Md代表货币需求曲线,则货币需求曲线向右下方倾斜,货币供给曲线是一条垂直线,iE为均衡利率。

图3-2 货币利率理论
凯恩斯的货币利率理论对古典利率理论忽视货币对利率影响的批评是正确的,他强调货币因素对利率的决定作用,一定程度上可以说是经济的客观反映。但是,凯恩斯过分强调了货币的作用,甚至认为利率完全是一种货币因素,显然与古典利率理论过分强调实物利率相同,存在着局限性。
(三)可贷资金利率理论
凯恩斯货币利率理论的发表,引起了关于利率决定问题的论争。1937年凯恩斯的学生罗柏森在古典利率理论的基础上提出了可贷资金利率理论,经过瑞典学派的重要代表人物俄林(B.Ohlin)等经济学家的补充,由经济学家勒纳(A.P.Lerner)加以综合,形成为一种较为流行的利率理论。可贷资金理论又被称为新古典利率理论,是现代利率理论的一个重要流派。
可贷资金利率理论认为,古典利率理论与凯恩斯的货币利率理论都有片面性,利率是由信贷(可贷资金)的需求与供给的相互作用决定的,可贷资金的供求既有实物市场的因素,又有货币市场的因素,既有存量又包括流量,因此,研究利率决定理论必须突破货币领域的框框,打破实物市场的界限,并将存量和流量综合在一起进行考察。可贷资金理论将货币因素引入古典利率决定的分析中,说明货币并非中性,强调可贷资金供求在利率决定中的重要作用,可以说是利率决定理论的一大发展。根据可贷资金理论,可贷资金的供给来自于具有利率弹性的三个因素:储蓄、银行信用以及反窖藏储蓄是资金供给的主要来源,银行信用是资金供给的重要来源,反窖藏则是人们所持有的货币对债券或其他资金的购买;而可贷资金的需求来自于具有利率弹性的投资、反储蓄以及窖藏三个方面,投资作为企业、政府和家庭为购买资本货币的支出,是主要的资金需求,而反储蓄则是指超过当期收入的消费支出。如果用LS表示可贷资金的总供给、S表示储蓄、M表示银行信用、DH表示反窖藏,用LD表示可贷资金的总需求,I表示投资、DS表示反储蓄、H表示窖藏,则:

可贷资金理论实际上试图在古典利率理论的基础上,将货币供求的变动等货币因素对利率的影响综合考虑,以弥补古典利率理论只注储蓄、投资等实物因素的不足,但可贷资金理论同样也存在缺陷,没有考虑国民收入变动对利率的影响,而在理论结构和现实经济中,收入与利率是互相联系的,仅有货币市场的均衡而无商品市场的均衡,真正均衡的利率水平是无法确立的,利率必须与收入同时决定于一般均衡体系之中。
(四)新古典综合学派的利率理论
当代英国著名经济学家希克斯(J.R.Hicks)对凯恩斯的货币利率理论和古典利率理论加以综合,综合地研究了实物因素和货币因素对利率的影响,提出了IS-LL模型,美国经济学家汉森(A.H.Hansen)对其作了进一步的阐述和发展,又经许多西方经济学家修正、补充和扩展,并在分析中引入了国民收入这一重要因素,提出了IS-LM分析方法和模型,逐渐成为一种重要的理论模型和分析工具。由于这一学派的经济学家在分析利率问题时,综合了凯恩斯和新古典学派的利率理论,进一步发展了利率决定理论,因而称之为新古典综合学派,也称为新古典——凯恩斯主义综合。
在IS-LM模型的分析中,利率和收入水平由商品市场和货币市场的相互作用所决定。IS曲线表示商品市场的均衡,由储蓄供给等于投资需求情况下所有利率和收入的组合所构成,均衡的条件是储蓄等于投资即S=I.由于储蓄是收入的正函数,即储蓄随着收入的增加而增加;投资是利率的反函数,即投资随着利率的上升而减少,IS曲线则向右下方倾斜。LM曲线表示货币市场的均衡,由货币供给等于货币需求情况下所有利率和收入的组合所构成,均衡的条件是货币的供给等于需求,即MS=Md.根据凯恩斯的货币理论,交易性货币需求是收入的正函数;投机性货币需求是利率的反函数。LM曲线的特点是利率升到一定高度后,曲线呈一条垂直线,这一区域被称作古典区域;当利率降到一定低点后,曲线将呈一条水平线,这一区域被称作流动性陷阱区域;介于两区域的中间一段曲线呈向右上方倾斜。IS曲线与LM曲线相交之处E同时满足两个市场的均衡,由交点E所决定的利率及收入则是满足两个市场的均衡条件的均衡利率和均衡收入。从理论上说,处于均衡点之外的任何利率和收入的组合,均会受到要求变动的压力而向均衡点调整。

根据IS-LM分析模型,利率的决定取决于储蓄供给、投资需求、货币供给、货币需求四个因素,导致储蓄投资、货币供求变动的因素都将影响到利率水平。在其他影响因素保持不变以及不考虑各因素间相互作用的前提下,消费倾向和资本边际效率的变动都将使IS曲线左移或右移,从而影响到均衡利率的水平,并且在一般情况下,消费倾向和资本边际效率与利率呈同向变动。而货币供求的变动将使LM曲线左移或右移,在一般情况下,货币供给增加将使LM曲线向右下方移动,导致利率下降,货币供给减少则导致利率上升;货币需求增加使LM曲线向左上方移动,从而导致利率上升,货币需求减少则造成利率下降。
(五)马克思的利率决定理论
马克思的利率决定理论是从利息的来源和实质的角度,考虑了制度因素在利率决定中的作用的利率理论,其理论核心是利率是由平均利润率决定的。
马克思认为,在资本主义制度下,利息是利润的一部分,是剩余价值的一种转化形式。利息产生的制度基础是资本的所有权与使用权的分离,利息是借贷资本家将货币资本的使用权转让给职能资本家所获得的报酬。这种建立在所有权与使用权相分离、贷出者和借入者以债权债务关系相对立的基础之上的内在的货币信用关系,以生产经营者的总利润分割为利息和减去利息之后的企业利润的外在形式得以表现。生产经营者的总利润分割,首先表现为数量上的分割,决定于有待分割的利润总额有多大,以及利润总额在贷款人和借款之间进行分割的比例。一般来说,利润总额取决于利润率,利润总额在贷款人与借款人之间进行分割的比率取决于利息率;利息率与利润率的关系,则是利息率由利润率决定,而且是由平均利润率决定。
马克思在分析利息的本质时,从宏观分析中得出利息是利润的一部分的结论,而在微观分析中,将利息作为占用资金的成本,是职能资本家总成本中的一个耗费项目。马克思认为:“利息在职能资本家面前,就是作为商品和商品价值的生产上一个预先存在的要素独立出现的。利息量尽管变动很大,但在任何一个瞬间,对任何一个资本家来说,总是作为一个已定的量,加入这个资本家所生产的商品的成本价格。” 利息是一种成本,是从微观生产企业的角度来看的,并不是说利息从企业利润中列支。利息的独立化,对于真正显示资金使用者在再生产过程中所起的能动作用有积极意义。
二、 决定利率的因素
利率作为资金的价格,决定和影响的因素很多、很复杂。
(一)产业的平均利润水平
根据马克思的利率理论,利息是利润的一部分,是剩余价值的转化形态,所以利息首先要受平均利润率的制约。一般来说,平均利润率是利息的最高限,如果其他条件不变,平均利润率提高了,利息率也会随之提高;平均利润率降低了,利息率也随之下降。利率以平均利润率为上限,以零为下限,经常在平均利润率与零之间波动,形成平均利润率>利率>零的不等式。在现代经济中,利息来源于产业利润,利息只能是产业利润的一部分,利率的总水平要适应大多数产业、行业的企业的负担能力,利率的总水平不能太高,太高了大多数企业承受不了;但利率的总水平也不能太低,太低了金融企业没有盈利,利率的杠杆作用也不能得以发挥。因此,利率的确定是以产业的平均利润水平为依据的,由平均利润率所调节的,利率水平的高低既要满足金融企业经营货币资金获取盈利的要求,又要使融资企业能够负担和承受。
(二)货币的供给与需求状况
利率作为资本的价格,与普通商品一样,货币的供求状况决定和影响其价格的高低。当货币的供给大于需求时,利率水平就会下降;当货币的需求大于供给时,利率水平就会上升。在现代信用经济中,人们的资产一般以两种形态持有,即货币与金融资产。货币的收益率为零,金融资产的收益率一般以利率作为投资的衡量标准,在其他条件不变的前提下,若金融资产的预期收益率上升,对金融资产的需求就会增加,对货币的需求将减少,当货币供给大于货币需求时,货币的超额供给表示人们持有的货币量多于愿意持有量,人们将通过购买金融资产来减少超额货币余额,从而相应地提高了金融资产的价格,随着金融资产价格的上升,利率则会下降。若金融资产的预期收益率下降,对金融资产的需求将会减少,货币的需求将增加,当货币的供给小于需求时,货币的超额需求表示人们手持货币量低于愿意持有的水平,为了获得货币,人们将出售部分金融资产以满足对货币的需求,从而使金融资产的价格下降,利率水平上升。
关于货币供求关系对利息水平的决定作用,上述的利率决定理论尽管侧重点有所不同, 但在实际分析中的差别并不很大。古典利率决定理论认为储蓄与投资(即借贷资金的供给与需求)决定着利率水平;凯恩斯的货币利率理论强调货币供给与货币需求对利率水平的决定作用;可贷资金理论则认为利率是由信贷(可贷资金)的供给与需求相互作用来决定的。
(三)经济发展的状况
一般来说,利率的决定取决于储蓄供给、投资需求、货币供给、货币需求,导致储蓄投资、货币供求变动的因素都将影响的利率的水平。一国经济发展的状况,决定了企业利润水平的高低和人们收入的多少,决定和影响了储蓄供给与投资需求,也影响了货币的需求与供给。一般情况下,若储蓄量超过对投资资本的需求,造成超额的资本供给,储蓄者将以越来越低的利率提供资金;若投资需求超过了可获得的储蓄量,企业将抬高利率直到利率达到储蓄等于投资需求的资金量水平。
在经济繁荣时期,经济增长迅速,企业预期的经营收益率将提高,预期能够盈利的投资机会就越多,许多项目对企业而言在经济上是可行的,企业需要更多的资金为更多项目融资,企业对资金的需要将增加,利率将随着企业平均利润率水平的提高、企业对资金需求的增加而上升。在经济衰退时期,企业预期的经营收益率将下降,预期盈利的投资机会减少,可以进行的投资项目将会减少,企业对资金的需求将会减少,利率将有所下降。在经济的扩张时期,随着经济的扩张,收入水平和财富的增加,人们希望使用货币完成更多的交易,持有更多的货币作为价值贮藏,也就是说,随着人们收入水平的提高,对货币需求的增加,利率将有所上升;在经济的衰退时期,人们的收入水平下降,对货币的需求减少,利率将有所下降。
三、影响利率的因素
利率除了受上述因素的决定和制约之外,还有一些其他因素会影响利率的变动。影响利率的因素是多种多样的。
(一)价格水平
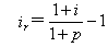
当商品价格水平上升时,名义货币量的实际价值下降,人们持有的货币余额相对降低,为了使所拥有的真实货币量恢复到价格上涨之前的水平,人们将希望持有更多的名义货币量,价格水平的上升,导致货币需求增加,在货币供给不变的情况下,利率将上升;反之,商品价格水平下降,人们持有的货币余额相对上升,对货币的需求减少,利率将下降。特别是在通货膨胀时期,商品价格猛涨,实际利率下降,迫使名义利率随之上升。在发生通货膨胀或预期通货膨胀率将上升,名义利率减去预期通货膨胀率的实际利率下降,企业实际借款成本降低,企业对资金的需求增加,利率将上升;若预期通货膨胀下降,扣除通货膨胀因素后的实际利率将上升,企业实际借款成本提高,企业对资金的需求减少,利率将下降。因此,在经济生活中,为了减少购买力风险,利率一般与物价指数同步变动,国际上往往采用利率与通货膨胀挂钩的方法,定期根据物价指数来调整利率,实际利率是随价格水平预期变化而调整的。目前国际上通用的实际利率的计算公式为:
![]()
其中,i表示名义利率,P表示物价变动率,ir表示实际利率。
(二)利率管制
由于利率变动对经济有很大的影响,各国特别是发展中国家都通过中央银行和政府专门机构以法律、法规、政策等形式,对利率实施不同程度的管制,其基本特征是直接规定利率或利率变动的界限,不允许利率随资金供求状况自由涨落,不允许商业银行和其他金融机构对利率进行垄断和干预。例如,美国自30年代以来,商业银行的定期存款和储蓄存款就受到利率最高限条例(即银行Q管理条例)的严格控制,并禁止对活期存款支付利息。利率管制作为一种高度的行政干预和法律的约束力量,将各类经济因素对利率的直接影响排斥在外,因而,尽管许多发达的市场经济国家也实行利率管制,但范围有限,随着经济的发展和变化,一些限制被放松或放弃。如80年代以后,美国逐渐放松、放宽了利率管制。利率管制的目的是控制银行利息成本,限制银行之间的业务竞争,稳定利率,稳定金融。利率管制是影响利率的有效途径之一。
(三)国际经济状况
随着世界经济的一体化,国际经济的状况影响着国际利率与汇率的水平,影响着资金在一国的流入流出及规模,从而引起国内的利率发生变动。一国国内利率水平的决定要受到国际利率水平的限制。若国际利率水平较高,将引起利率水平相对较低的国家资金的流出,造成国内资金供给小于需求,迫使国内利率上升;若国际利率水平较低,将引起资金流入利率水平相对较高的国家,造成国内资金供给大于需求,从而诱使国内利率水平随之下降。外汇汇率的变动也会引起国内利率的变动。若一国外汇汇率上升,外汇升值、本币贬值,引起国内居民对外汇的需求减少,本币相对充裕,从而使国内市场利率下降;若一国外汇汇率下跌,外汇贬值、本币升值,国内居民对外汇的需求增加,本币供应处于紧张状态,从而引起国内利率上升。
(四)货币政策
利率作为经济杠杆,一般是各国政府调控经济的手段之一。中央银行从宏观经济需要出发,把调控利率作为货币政策的操作工具,通过官定利率影响商业银行的利率,以达到稳定物价、充分就业的经济目标。中央银行利用货币政策工具来干预经济是可行的,对利率的影响也是有效的。例如,自20世纪30年代以来,西方国家普遍推行干预经济的货币政策、财政政策,以赤字财政、通货膨胀来刺激“有效需求”,引起了利率水平的猛烈上升。
Copyright © 2000 - www.fawtography.com All Rights Reserved. 北京正保会计科技有限公司 版权所有
京B2-20200959 京ICP备20012371号-7 出版物经营许可证
京公网安备 11010802044457号
套餐D大额券
¥
去使用