扫码下载APP
及时接收最新考试资讯及
备考信息
网校小编特整理了“2017年中级经济师《经济基础知识》需求价格弹性系数涉及计算公式”,希望对您学习有帮助。
1、需求价格弹性的定义是,需求量对价格变动的反应程度,是需求量变动百分比与价格变动百分比的比率,即:
需求价格弹性系数=需求量的相对变动/价格的相对变动,公式如下:

如用Ed代表需求价格弹性系数,用P和ΔP分别表示价格和价格的变动量,用Q和ΔQ分别表示需求量和需求量的变动量,则:
2、需求价格弹性系数有两种计算公式,一种是点弹性公式,一种是弧弹性公式。
(1)点弹性是指需求曲线上某一点上的弹性,它等于需求量的无穷小的相对变化对价格的一个无穷小的相对变化的比率,即:
点弹性系数=需求量的相对变化/价格的相对变化
用公式表示为:

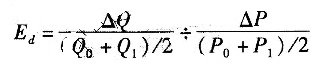
(2)弧弹性是指需求曲线上两点之间的弧的弹性,它等于需求量的相对变动量对价格的相对变动量的比值。
弧弹性系数的计算公式为:

式中,Q0为变动前的需求量,Q1为变动后的需求量,ΔQ为需求的变动量;P0为变动前的价格,P1为变动后的价格,ΔP为价格的变动量。
注意:价格需求有三种形式:
富有弹性 Ed>1 需求量的变动率大于价格的变动率
单一弹性 Ed=1 需求量的变动率等于价格的变动率
缺乏弹性 Ed<1 需求量的变动率小于价格的变动率
相关推荐:
Copyright © 2000 - www.fawtography.com All Rights Reserved. 北京正保会计科技有限公司 版权所有
京B2-20200959 京ICP备20012371号-7 出版物经营许可证
京公网安备 11010802044457号
套餐D大额券
¥
去使用