扫码下载APP
及时接收最新考试资讯及
备考信息
在2018年中级经济师备考阶段,网校小编特整理了中级经济基础知识考试可能会涉及的一些计算公式,希望对您学习有帮助。
(一)“弹性”涉及的计算公式:
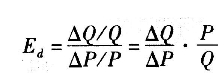
1、需求价格弹性:
需求价格弹性系数=需求量的相对变动/价格的相对变动,公式如下:

如用Ed代表需求价格弹性系数,用P和ΔP分别表示价格和价格的变动量,用Q和ΔQ分别表示需求量和需求量的变动量
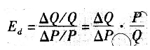
2、点弹性系数
点弹性系数=需求量的相对变化/价格的相对变化
用公式表示为:

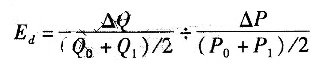
3、弧弹性系数的计算公式为:需求量的相对变动量对价格的相对变动量的比值。

式中,Q0为变动前的需求量,Q1为变动后的需求量,ΔQ为需求的变动量;P0为变动前的价格,P1为变动后的价格,ΔP为价格的变动量。
4、需求收入弹性,是指需求量的变动和引起这一变动的消费者收入变动之比,它用以衡量需求变动对消费者收入变动的反应程度。其计算公式为:
![]()
式中:Ey代表需求的收入弹性系数,Q代表原需求量,ΔQ代表需求的变动量,Y代表原消费者收入,ΔY代表收入的变动量。
5、交叉弹性系数
交叉弹性系数=商品i的需求量的相对变化/商品j的价格的相对变化
用公式表示为:

式中:Eij为需求交叉弹性;Qi为商品i的需求量,△Qi为商品i的需求变动量;Pj为商品j的价格,ΔPj为商品j的价格变动量。
6、供给价格弹性系数
供给价格弹性系数=供给量的相对变动/价格的相对变动
如用ES代表供给价格弹性系数,用P和ΔP分别表示价格和价的变动量,用Q和ΔQ分别表示供给量和供给量的变动量,则:

(二)消费者行为分析知识点计算公式:
1、商品边际替代率
1个单位商品来计算商品的边际替代率,公式表示如下:

2、消费者效用最大化的均衡条件可以表示为:商品边际替代率=商品的价格之比,即:

3、假定某一消费者对一种商品的消费数量为Q总效用为TU,则总效用函数就是:
TU=f(Q)
一般来说,总效用取决于消费数量的大小,在一定范围内,消费量越大,则总效用就越大。
边际效用是指消费者增加一个单位的商品消费时所带来的满足程度的增加或者效用的增量。用MU表示边际效用,用公式表示MU是:
MU=△TU/△Q
4、预算线的斜率是两种商品价格的负比率或两种商品价格的比率的负值,就是-P1/P2。
(三)生产要素的相关变量及计算:
1.边际物质产品(MPP)也称边际产量(MP),表示增加单位要素投入所带来的产量增量。
MPP =ΔQ/ΔL
2.边际收益产品(MRP)增加单位要素使用所带来的收益增量。
MRP=ΔR/ΔL=MPP*MR
3.边际产品价值(VMP)增加一单位的要素投入所增加的价值。
VMP=MPP*P
4.边际要素成本(MFC)增加单位要素投入所带来的成本增量。
MFC =ΔC/ΔL=MPP*MC
5.平均要素成本(AFC)平均单位要素投入的成本。
AFC=C/L
相关推荐:
强烈推荐:关注我们的微信更快获取经济师考试资讯及备考资料等信息,随时随地咨询经济师考试相关问题。
| 经济师考试交流QQ群3:203341801 | 经济师频道微信号:jingjishizjw | |
![]() | ![]() |
Copyright © 2000 - www.fawtography.com All Rights Reserved. 北京正保会计科技有限公司 版权所有
京B2-20200959 京ICP备20012371号-7 出版物经营许可证
京公网安备 11010802044457号
套餐D大额券
¥
去使用