扫码下载APP
及时接收最新考试资讯及
备考信息
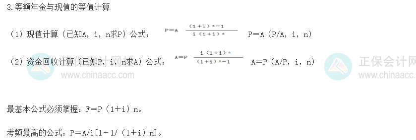
为助力大家高效备考,正保会计网校老师特为大家精心整理了2022中级经济师《建筑与房地产》高频考点:资金等值计算,希望对各位考生接下来的冲刺备考有所帮助!
第二章 投资项目经济分析与评价方法


声明:本文是正保会计网校教研团队整理,转载请注明来源。
备考中级经济师的路上,正保会计网校始终陪伴着大家,快来跟着网校老师学,备考不走弯路,还有多种课程班型等你来pick~了解中级经济师课程>>
Copyright © 2000 - www.fawtography.com All Rights Reserved. 北京正保会计科技有限公司 版权所有
京B2-20200959 京ICP备20012371号-7 出版物经营许可证
京公网安备 11010802044457号
套餐D大额券
¥
去使用