扫码下载APP
及时接收最新考试资讯及
备考信息
备考2021年中级经济师考试,早学习早准备,不打没有准备的仗,为了使大家更好的达到备考的目的,正保会计网校为小伙伴们准备了相关的知识点哦,快来点击学习吧!
【知识点】收益率
1.名义收益率又称票面收益率,是债券票面上的固定利率,即票面收益与债券面值之比。
r=C/F
r为名义收益率,C为票面收益(年利息),F为面值
2.实际收益率=名义收益率-通货膨胀率
3.本期收益率也称当前收益率,即本期获得的债券利息(股利)与债券(股票)本期市场价格的比率。
r=C/P
r为本期收益率,C为票面收益(年利息),P为市场价格
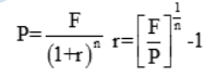
4.到期收益率:又称最终收益率,是使从债权工具上获得的未来现金流的现值等于债券当前市场价格的贴现率。
零息债券的到期收益率计算:
①零息债券不支付利息,折价出售,到期按债券面值兑现。如果按年复利计算,则公式为:

②如果按半年复利计算,则零息债券到期收益率计算公式为:

5.持有期收益率
持有时间较短(不超过1年)的债券,直接按债券持有期间的收益额除以买入价计算持有期
收益率:

r为持有期收益率,C为债券票面收益(年利息),Pn为债券的卖出价格,P0为债券的买入
价格。
为帮助各位考生更好地备考2021年中级经济师,网校根据经济师教材,按照章节上线了63天打卡计划,每天一个精选知识点+3道精选练习题~打卡规则属于自由模式,大家可以随时开始,随时学习!
用微信扫描下方二维码,进入“会计爱打卡”小程序。

小伙伴们是不是觉得意犹未尽呐?购买中级经济师的相关课程就可查看更多更全面的知识点、习题与课程等内容哦!网校老师帮你抓重点、提炼考点!快去入手吧!立即购买>>
更多推荐:
Copyright © 2000 - www.fawtography.com All Rights Reserved. 北京正保会计科技有限公司 版权所有
京B2-20200959 京ICP备20012371号-7 出版物经营许可证
京公网安备 11010802044457号
套餐D大额券
¥
去使用